网站首页  词典首页


请输入您要查询的字词:

 

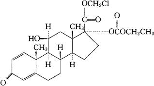
字词 乙碳酸氯替泼诺
类别 中英文字词句释义及详细解析
释义 乙碳酸氯替泼诺

C24H31ClO7=466.96

CAS-82034-46-6

17-[(乙氧羰基)氧]-11-羟-3-氧代-雄甾-1,4-二烯-17-羧酸,氯甲基酯,(11β,17α)。

Androsta-1,4-diene-17-carboxylic acid,17-[(ethoxycarbonyl)oxy]-11-hydroxy-3-oxo-,chloromethyl ester,(11β,17α).

氯甲基11β,17-二羟-3-氧代雄甾-1,4-二烯-17β-羧酸酯,17-(乙基碳酸酯)。

Chloromethyl 11β,17-dihydroxy-3-oxoandrosta-1,4-diene-17β-carboxylate,17-(ethyl carbonate).

消炎药(局部用)。

氯替泼诺乙基碳酸酯。

Loteprednol Etabonate,P-5604,HGP-1,CDDD5604.

INN(Loteprednol),USAN.

随便看

 

离鸟网收录3541549条中英文词条,其功能与新华字典、现代汉语词典、牛津高阶英汉词典等各类中英文词典类似,基本涵盖了全部常用中英文字词句的读音、释义及用法,是语言学习和写作的有利工具。

 

Copyright © 2004-2024 vtrois.com All Rights Reserved
更新时间:2026/4/21 10:56:25