网站首页  词典首页


请输入您要查询的字词:

 

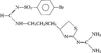
字词 乙溴替丁
类别 中英文字词句释义及详细解析
释义 乙溴替丁

C14H17BrN6O2S3=477.41

CAS-100981-43-9

对-溴-N-[[[2-[[[2-[(二氨基亚甲基)氨基]-4-噻唑基]甲基]硫]乙基]氨基]亚甲基]苯磺酰胺。

p-Bromo-N-[[[2-[[[2-[(diaminomethylene)amino]-4-thiazolyl]methyl]thio]ethyl]amino]methylene]benzenesulfonamide.

组胺H2-受体阻滞药,胃分泌抑制药。

Ebsotidine.

随便看

 

离鸟网收录3541549条中英文词条,其功能与新华字典、现代汉语词典、牛津高阶英汉词典等各类中英文词典类似,基本涵盖了全部常用中英文字词句的读音、释义及用法,是语言学习和写作的有利工具。

 

Copyright © 2004-2024 vtrois.com All Rights Reserved
更新时间:2026/4/20 20:19:45