网站首页  词典首页


请输入您要查询的字词:

 

字词 乘数理论
类别 中英文字词句释义及详细解析
释义 乘数理论

【内容介绍】:

1.乘数理论的基本内涵

乘数是指公共支出或私人资本投资的增加对收入的扩张性影响或连锁反应。

假定,某一社会在某时期投资增加10元用于建造一个新的工厂,它增加了直接从事工厂建设的工人的收入,增加了与工人做交易的商人的收入,增加了商人的供货者的收入,……以此类推。当然,这10元钱不是无限地倍增,因为人们通常不会把新获得的收入都花掉,而是花掉一部分,储蓄一部分。

在一定时期内,这10元的新投资所引起的全部收入的增加额将是投资的一个倍数,这个倍数就叫乘数。

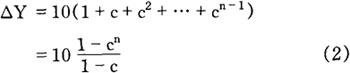
假定每一时期获得新收入的消费者平均来看将增加的收入的c部分用于消费,亦即假定消费者的边际消费倾向(marginal propensity to consume)为c,则这笔新投资在n期中所引起的收入连锁增加之和△Y为:

△Y=10+10c+102+…+10n-1 (1)

一般而言,0<c<1,故当n→∞时,cn→0。因此,

倘若以△I代表任何数量的新增投资,则(3)式可改写为:

(5)式表明,乘数等于1减去边际消费倾向的倒数。如上所述,人们对新增的收入,不用于消费,就用于储蓄,故边际消费倾向(c)与边际储蓄倾向(s)之和等于1。

因此,我们也可以用边际储蓄倾向来表述乘数:

需要指出的是,只有当n→∞时,乘数的作用才能完全实现。可是,我们可能最关心新投资在某一时段内(比如说1年或3年)所产生的效果。

倘若这一时期包括x期,在x期内的实际乘数是:

x期内的实际乘数占完全乘数(full multiplier)的比例是:

从(7)式可知,cx越小,实际乘数K′越接近于完全乘数或理论乘数K:c值越小,x值越大,cx值越小,则K′→K。

也就是说,边际消费倾向越小,观察的时期越长,实际乘数就越接近于完全乘数。

2.凯恩斯对乘数的利用

一般认为,乘数理论最先由卡恩(Kahn,1931)在1931年提出的。不过,卡恩当初所说的乘数是就业乘数(employment multiplier),即新投资使就业增加的总量与新投资所直接引起的初次就业之比,与上一节来源于凯恩斯论述的投资乘数(investment multiplier)不一定相同。

凯恩斯在其《通论》中采纳了卡恩的乘数概念,研究投资变动对总收入的倍增作用。根据凯恩斯的理论,

Y=C+I (8)

其中,Y代表收入,C代表消费,I代表投资。

△Y=△C+△I (9)

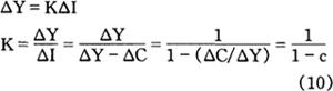
即增加的收入等于增加的消费支出和增加的投资支出之和。假定K代表乘数,表示投资增加使收入增加的倍数,则

这与上述的(5)式相同。

不过,这里所说的凯恩斯的乘数与边际消费倾向在概念上实际是同物异名,二者间的关系是定义上的关系而不是因果关系。根据定义,

K=1/(1-c)

c=1-(1/K)

所以,哈伯勒(Haberler,1944,p.195)认为这是“同一事物的两种称谓”。

可是,凯恩斯却利用这种定义上的关系处理新投资与新增收入之间的因果关系,故而引起很大争论。

3.乘数分析的扩展

乘数分析不只可以用来分析新投资的扩张作用,还可以分析其他支出的作用。

假定

G表示政府支出,a表示消费函数的常数项,表明收入为零时仍有a水平的消费,I和G都为独立变量。

(11)式中,1/(1-c)是乘数。

从(11)式可以看出,不论是投资增加,政府支出增加,还是消费函数的常数项增加(即整个消费曲线上移),都产生乘数效应。如果把税收、外贸等因素考虑在内,乘数会有所不同。

所以,根据这一概念,人们后来提出了许多专门的乘数,如外贸乘数(研究不断变化的进口量的作用)、连续周期乘数(研究乘数作用的时间选择问题)、财政乘数(研究财政支出与税收变化对经济波动的平抑作用)等等。

当然,我们还可以进一步把投资划分为两部分,一部分为自主性(或自发性)投资(autonomous investment),用IA来表示,是独立变量;另一部分是引致性投资(induced investment),用II来表示,与收入保持一定比例b,b就是通称的边际投资倾向(marginal propensity to invest)。

所以,

通常,人们把(12)式中的1/(1-b-c)称为“复合乘数”(compound multiplier),而把前面的1/(1-c)称为简单乘数(simple multiplier)。可是,需要注意的是,在现实中,自主性投资与引致性投资很难区分开来,因此,复合乘数概念在经济学中未得到广泛应用。

4.乘数分析的局限性

根据上述分析,我们知道,投资或其他支出增加,通过乘数作用,会使收入按一定倍数增加。但是,收入的增加并非无限度,会受到许多因素的影响,这需要我们在利用乘数分析时格外注意。

经济体系的约束 一般来说,任何社会的生产都要受到充分就业或因某种生产要素短缺所形成的瓶颈的限制。倘若生产已达到这些限制因素所规定的水平,乘数的作用只会增加货币收入,而不会增加或不会同等程度的增加实际收入。

也就是说,在充分就业的情况下,乘数的作用只会引起物价上涨,不会增加实际收入;在经济尚未实现充分就业的情况下,随著经济的扩张,充分就业日趋接近,支出增加所代表的有效需求的提高,一部分被物价的上涨所抵消,使得实际收入的增加滞后于货币收入的增加。

相关变量的约束 乘数发挥作用的前提是初始支出增加必须是净增加,否则相关变量之间会产生抵消效应。就以政府的公共工程支出(或其他支出)增加为例,可能至少会有两种抵消力量。

第一,如果政府增加税收,公共工程从业人员增加的支出或多或少要被纳税人减少的支出所抵消,抵消的程度取决于以牺牲消费而不是储蓄为代价支付增加的税收的程度。

这种观点后来发展成为平衡预算乘数理论。

第二,如果政府不增税而举债,这将对私人投资产生不利影响。

因为,随著经济扩张,消费者和企业通常希望增加货币持有量,对利率产生上扬压力,在一定程度上会排挤私人投资。

【参考文献】:

财政乘数(Fiscal Multiplier)

排挤效应(Crowding OutEffects)

传统的凯恩斯主义经济学(Traditional Keynesian Economics)

Ackley, G., 1978, Macroeconomics: Theory and Policy, Macmillan.

Haberler, C., 1944, Mr. Keynes Theory of the Multiplier, in American Economic Association, Readings in Business Cycle Theory, Richard D. Irwin.

Kahn, R. F., 1931, The Relation of Home Investment to Unemployment, Economic Journal 41.

随便看

 

离鸟网收录3541549条中英文词条,其功能与新华字典、现代汉语词典、牛津高阶英汉词典等各类中英文词典类似,基本涵盖了全部常用中英文字词句的读音、释义及用法,是语言学习和写作的有利工具。

 

Copyright © 2004-2024 vtrois.com All Rights Reserved
更新时间:2026/4/18 6:41:37