网站首页  词典首页


请输入您要查询的字词:

 

字词 乘数原理
类别 中英文字词句释义及详细解析
释义 乘数原理

自发总支出的增加所引起的国民收入增加的倍数。

如果是自发总支出中投资的增加,则乘数是投资乘数;如果是自发总支出中政府支出的增加,则乘数是政府支出乘数;等等。乘数原理说明了各种支出变动对国民收入变动的影响。

因为国民经济各部门之间是相互联系的,所以,对某一部门的需求(支出)的增加,不仅会使该部门的生产和收入相应增加,而且还会引起其他部门的生产、收入和支出的增加,从而使国民收入增加量数倍于最初增加的支出。设对第一部门最初增加的需求(支出)为△,由这种支出引起的收入的增量为△

设所有各部门的边际消费倾向为C,则由第一部门增加的收入会使消费需求增加C·△。由此引起第二部门的收入增加C·△

第二部门增加的收入中又要消费C2·△,于是,又使第三部门的收入增加C2·△。第三部门由此增加的消费需求C3·△将使第四部门的收入增加C3·△

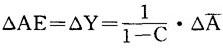
这种由收入增加带动的消费需求增加逐轮连续下去,当整个经济再次到达均衡时,增加的总支出(△AE)与国民收入(△Y)则为:

因为,0<C<1,所以,

在上式中,即为乘数。它表示由于最初自发支出增加了△,当总供给与总需求再次达到均衡时,国民收入的增加量(△Y)。为△倍。因为C<1,所以>1。

而且,乘数的大小取决于边际消费倾向(C),边际消费倾向越大,乘数越大;边际消费倾向越小,乘数越小。乘数的概念最初由俄国经济学家图干-巴拉诺夫斯基提出。以后又为英国经济学家卡恩用来解释投资增加与就业增加的关系。凯恩斯在《通论》中把乘数与边际消费倾向联系起来,说明总支出变动与国民收入变动的关系。

所以,乘数原理在凯恩斯的国民收入决定理论中占有重要的地位。以后,美国经济学家汉森和萨缪尔森把乘数原理与加速原理结合起来,解释经济周期的原因。

随便看

 

离鸟网收录3541549条中英文词条,其功能与新华字典、现代汉语词典、牛津高阶英汉词典等各类中英文词典类似,基本涵盖了全部常用中英文字词句的读音、释义及用法,是语言学习和写作的有利工具。

 

Copyright © 2004-2024 vtrois.com All Rights Reserved
更新时间:2026/4/18 10:12:27