网站首页  词典首页


请输入您要查询的字词:

 

字词 析因试验
类别 中英文字词句释义及详细解析
释义
析因试验

析因试验

析因试验是一种多因素的交叉分组试验。它不仅可检验每个因素各水平间的差异,而且可检验各因素间的交互作用。两个或多个因素间如存在交互作用,表示各因素不是各自独立的,而是一个因素的水平有改变时,另一个或几个因素的效应也相应有所改变;反之,如不存在交互作用,表示各因素具有独立性,一个因素的水平有所改变时不影响其他因素的效应。下面介绍最简单的两因素析因试验(以“2×2”为例)和较复杂的四因素析因试验(以“2×2×3×2”为例)的设计及其分析方法。
2×2析因试验 2×2设计表示有两个因素,每个因素各有两个水平,共有四个组合。如以A1表示A因素1水平,A2表示A因素2水平,B1表示B因素1水平,B2表示B因素2水平,各因素的水平之间逐个组合,即成2×2设计,其模型如下:


2×2析因分析时,首先应对4个组合的试验结果作方差齐性检验(见条目“多个方差的齐性检验”),如已满足齐性要求,即可进行方差分析。方法如下:
(1)作检验假设。有两种: 一是A因素或B因素的各水平间的比较,H0为A因素或B因素两水平的总体均数相等,即μ1=μ2;二是分析A、B两因素的交互作用,H0为两因素间无交互作用,即彼此独立。
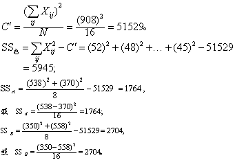
(2)将总变异的离均差平方和SS及自由度v按变异来源分为A因素、B因素、交互作用A×B及误差四部分。SSA和SSB的计算公式见条目“单因素多个样本均数比较”。A、B两因素交互作用的离均差平方和SSA×B的计算需先列副表,如表2,再用式(1)及式(2)。

式中SST(AB)为A、B两因素副表总变异的离均差平方和;XA1B1为A因素1水平与B因素1水平组合的样本观察值,余类推;n为分子中每个合计所包含的例数,C'为校正数(C'区别于因素C)。自由度v的计算:总变异v=总例数-1,某因素v=该因素的水平数-1,交互作用v=有关因素的自由度之积,2×2析因分析中v均为1。
(3)分别计算各因素及交互作用的均方MS(=SS/v),并与误差的均方相比得F值,如表3。
(4)查F界值表得P值,按所取检验水准作出推断结论。
例1 用新法和旧法分别提取某食物中的甲化合物和乙化合物,观察其回收率,拟比较新旧法间及甲乙化合物间的回收率有无差别?方法与化合物间有无交互作用?试作析因试验。
(1)设计。本例有两个因素,各有2个水平:
A因素: 方法——新、旧,
B因素: 化合物——甲、乙,
交互作用: A×B,即方法×化合物,共有4种组合,对每一组合的样本均按照随机化的原则重复测定4次,资料见表1。
(2)分析。先检验4个样本的方差齐性,得校正x2=6.03,v=4-1=3,查x2界值表得0.5>P>0.05,按α=0.05水准已满足方差齐性要求,可进行方差分析。
方法间:
H0: 新法与旧法所得回收率相等,
H1: 新法与旧法所得回收率不等。

表1 2×2析因试验的回收率(%)


测定次数A1,新 法A2,旧 法
B1,甲物
XA1B1
B2,乙物
XA1B2
B1,甲物
XA2B1
B2,乙物
XA2B2
1
2
3
4
52
48
44
44
84
88
90
88
52
44
40
26
47
64
52
45
合 计188350162208

化合物间:
H0: 甲乙两化合物所得回收率相等,
H1: 甲乙两化合物所得回收率不等。
交互作用:
H0: 不同方法与不同化合物的回收率之间无交互作用,H1: 不同化合物所得回收率之差因采用不同方法而异,反之亦然。
均取α=0.05。

表2 表1的副表

A因素B 因 素合 计
甲物乙物
新 法
旧 法
188
162
350
208
538
370
合 计350558908


按式(1)与式(2)合并计算如下:


表3 表1资料的方差分析


变异来源SSvMSFP
594515   
方法间
化合物间
交互作用
误差
1764
2704
841
636
1
1
1
12
1764
2704
841
53
33.28
51.02
15.87
<0.001
<0.001
<0.01

由表3可见: 无论新、旧法间,甲、乙两化合物间,以及方法与化合物的交互作用,经方差分析所得P值均很小,按α=0.05水准均拒绝H0,接受H1,回收率之间有差别。结合表2,可以认为新法高于旧法,乙化合物高于甲化合物。又由表1得平均回收率如下:


可见用新法提取时,两种化合物的回收率相差较大,而用旧法时相差较小,二者约为3.5:1。说明方法与化合物之间存在交互作用。
2×2×3×2析因试验 2×2×3×2设计,表示有四个因素,各因素依次有2、2、3、2个水平,共有2×2×3×2=24个组合。如以ABCD表示四个因素,A1 、A2表示A因素的两个水平,同样,B1、B2,C1,、C2、C3,D1 、D2分别表示B、C、D因素的各个水平,则2×2×3×2设计的模型如下:


按此模型安排24个组合的试验,每个试验可根据试验条件和具体要求规定重复次数,一般所取次数较少。对试验结果应先作方差齐性检验,然后再作方差分析(参照2×2析因分析加以扩展):
单因素组间比较: A,B,C,D;
一级交互作用: A×B,A×C,A×D,B×C,B×D,C×D;
二级交互作用: A×B×C,A×B×D,A×C×D,B×C×D;
三级交互作用: A×B×C×D。
总共15次检验,目的在于得出各因素的最佳水平及其组合。
析因试验能够分析多种交互作用,以获得丰富的结论,但当因素过多,因素中包括的水平又划分过细时,将使交互作用的内容头绪繁多,不但计算不便,而且对它们的具体解释亦十分错综复杂。故除非必须同时对某些因素进行研究外,一般宜采用较简单的析因试验。
例2 在培养钩端螺旋体时,除已固定若干因素外,拟研究以下四个因素不同水平的效应,求其最佳组合。
A: 血清种类——兔、胎盘
B: 血清浓度——5%、8%
C: 基础液——缓冲剂、蒸馏水、自来水D: 维生素——加、未加
1. 设计。本例A、B、C、D四个因素依次各包括2、2、3、2种水平,故全部试验有2×2×3×2=24个组合。每一组合的样本重复钩端螺旋体计数四次。资料见表4。
2. 分析。对表4中24个组合的方差作齐性检验得校正x2=36.23,v=23,查x2界值表得P<0.05,按α=0.05水准,未满足方差齐性的要求。试把表4数据作平方根变换,得表5。再对表5数据作方差齐性检验,得校正x2=27.80,v=23,查x2界值表得0.5>P>0.05,按α=0.05水准已满足了方差齐性的要求,可用表5数据作方差分析。
血清间:
H0: 两种血清(A1与A2)所得计数相同,
H1: 两种血清(A1与A2)所得计数不同。
浓度间:
H0: 两种浓度(B1与B2)所得计数相同,

表4 2×2×3×2析因试验的钩端螺旋体计数

A×B
(血清种类
×血清浓度)
C×D(基础液×维生素)
缓冲剂蒸馏水自来水
未加未加未加
兔血清×5%1426
1183
2000
1612
648
1246
1398
909
684
1430
1165
2022
1763
1241
1381
2421
1182
1512
1450
1385
580
1026
1026
830
兔血清×8%1260
1599
1410
2416
1144
1877
1671
1845
875
2250
1871
1962
1447
1883
1896
1926
1220
1095
1700
2372
1789
1215
1434
1651
胎盘血清×5%604
1081
487
624
830
853
441
1030
867
771
403
370
920
709
848
574
1243
1115
416
533
1126
1176
1280
1212
胎盘血清×8%1108
886
831
1159
578
669
643
1002
1115
698
791
559
933
1024
1092
742
1283
1142
677
534
685
546
595
566

表5 表4数据的平方根变换值


A×B
(血清种类
×血清浓度)
C×D(基础液×维生素)
缓冲剂蒸馏水自来水
未加未加未加
兔血清×5%37.76
34.39
44.72
40.15
25.46
35.30
37.39
30.15
26.15
37.82
34.13
44.97
41.99
35.23
37.16
49.20
34.38
38.88
38.08
37.22
24.08
32.03
32.03
28.81
兔血清×8%35.50
39.99
37.55
49.15
33.82
43.32
40.88
42.95
29.58
47.43
43.26
44.29
38.04
43.39
43.54
43.89
34.93
33.09
41.23
48.70
42.30
34.86
37.87
40.63
胎盘血清×5%24.58
32.88
22.07
24.98
28.81
29.21
21.00
32.09
29.44
27.77
20.07
19.24
30.33
26.63
29.12
23.96
35.26
33.39
20.40
23.09
33.56
34.29
35.78
34.81
胎盘血清×8%33.29
29.77
28.83
34.04
24.04
25.87
25.36
31.65
33.39
26.42
28.12
23.64
30.55
32.00
33.05
27.24
35.82
33.79
26.02
23.11
26.17
23.37
24.39
23.79

H1: 两种浓度(B1与B2)所得计数不同。基础液间:
H0: 三种基础液(C1、C2、C3)所得计数相同,
H1: 三种基础液(C1、C2、C3)所得计数不同或不全相同。是否加维生素:
H0: 加与不加维生素(D1与D2)所得计数相同,H1: 加与不加维生素(D1与D2)所得计数不同。
一级交互作用
H0: A×B、A×C、A×D、B×C、B×D、C×D无交互作用,
H1: A×B、A×C、A×D、B×C、B×D、C×D有交互作用。
二级交互作用:
H0: A×B×C、A×B×D、A×C×D、B×C×D无交互作用,
H1: A×B×C、A×B×D、A×C×D、B×C×D有交互作用。
三级交互作用:
H0: A×B×C×D无交互作用,H1: A×B×C×D有交互作用。
均取α=0.05水准。
总变异的离均差平方和包括4个因素变异、6个一级交互作用变异、4个二级交互作用变异、1个三级交互作用变异和1个误差(剩余变异),分别计算如下。并将结果列于表9,以便分析。
(1)总变异的离均差平方和。计算表5每个组合的合计,列于表6,

表6 表5数据的交互作用的总副表


A×B
(血清种类
×血清浓度)
C×D(基础液×维生素)
缓冲剂蒸馏水自来水
未加未加未加
兔血清5%
兔血清8%
胎盘血清5%
胎盘血清8%
157.02
162.19
104.51
125.93
128.30
160.97
111.11
106.92
143.07
164.56
96.52
111.57
163.58
168.86
110.04
122.84
148.56
157.95
112.14
118.74
116.95
155.66
138.44
97.72

再按四因素分别计算各水平的合计:
A,血清种类: 兔1827.67,胎盘1356.48;B,血清浓度: 5% 1530.24,8% 1653.91;
C,基础液: 缓冲剂1056.95,蒸馏水1081.04,自来水1046.16;
D,维生素: 加1602.76,未加1581.39;总计: 3184.15。


总变异的离均差平方和,由表5数据计算,得


(2)四因素各水平间变异的离均差平方和。


(3)一级交互作用的离均差平方和。包括所有每两个因素的交互作用,共六项。A×B交互作用计算见表7。

表7 A×B交互作用副表(据表6)


A,血清种类B,血清浓度
5%8%

胎 盘
857.48
672.76
970.19
683.72

按式(1)与式(2)合并计算如下:

另5个一级交互作用的离均差平方和及其自由度之计算方法仿此,算式从略,结果为: SSA×C=118.7270 ,V=1×2=2; SSA×D=33.4766,v=1×1=1; SSB×C=34.7938,v=1×2=2;SSB×D=12.4488,v=1×1=1; SSC×D=153.7675,v=2×1=2。
(4)二级交互作用的离均差平方和。包括所有每三个因素的交互作用,共四项。A×B×C交互作用计算见表8。

表8 A×B×C交互作用副表(据表6)

A
血清种类
B×C(血清浓度×基础液)
5%8%
缓冲剂蒸馏水自来水缓冲剂蒸馏水自来水
285.32306.65265.51323.16333.42313.61
胎 盘215.62206.56250.58232.85234.41216.46

仿式(1)与式(2)推广计算如下:


其余3个二级交互作用的离均差平方和及其自由度之计算方法仿此,算式从略,结果为SSA×B×D=139.6596,v=1×1×1=1;SSA×C×D=24.0976,v=1×2×1=2; SSB×C×D=8.4369,v=1×2×1=2。
(5)三级交互作用的离均差平方和。全部四个因素的交互作用,只有一项,根据表6数据计算。仿式(1)与式(2)推广计算如下:


(6)误差的离均差平方和。从总变异的离均差平方和内减去所有单因素变异和一、二、三级交互作用的离均差平方和,为剩余变异,即误差;自由度的计算方法同此。


表9 表5资料的方差分析

变异来源SSvMSFP
5086.165095   
单因素变异     
A,血清种类
B 血清浓度
C,基础液
D,维生素
2312.7085
159.3153
19.9309
4.7571
1
1
2
1
2312.7085
159.3153
9.9654
4.7571
97.87*
6.74*
<1
<1
<0.01
<0.05
交互作用     
A×B
A×C
A×D
B×C
B×D
107.8444
118.7270
33.4766
34.7938
12.4488
1
2
1
2
1
107.8444
59.3635
33.4766
17.3969
12.4488
4.56*
2.51
1.42
<1
<1
<0.05
C×D
A×B×C
153.7675
116.7202
2
2
76.8838
58.3601
3.25*
2.47
<0.05
A×B×D
A×C×D
B×C×D
A×B×C×D
139.6596
24.0976
8.4369
138.1292
1
2
2
2
139.6596
12.0488
4.2184
69.0646
5.91*
<1
<1
2.92
<0.05
误差1701.35167223.6299  

方差分析的全部结果列于表9,其中P值按所得F值,由F界值表查得。有五项F值记“*”,表示按α=0.05水准拒绝H0,接受H1,认为有差别:
❶血清种类(A)间: 用兔血清培养优于用胎盘血清;
❷血清浓度(B) 间: 用8%血清浓度培养优于用5%的血清浓度;
❸血清种类与血清浓度(A×B)二者间有交互作用,可认为用兔血清培养时,8%的浓度优于5%的浓度,而用胎盘血清培养时,8%的浓度与5%的浓度相差甚微;
❹基础液与维生素(C×D)二者间有交互作用,可认为用缓冲液或自来水作基础液时,加维生素培养优于不加维生素,而蒸馏水作基础液时,不加维生素培养优于加维生素;
❺血清种类、血清浓度与维生素(A×B×D)三者间有交互作用,可认为用5%浓度兔血清或8%浓度胎盘血清时,加维生素优于不加维生素,而用5%浓度胎盘血清时,不加维生素培养优于加维生素培养,至于用8%浓度兔血清培养时,加或不加维生素培养效果无差别。
综合上述五项,可将所分析的四个因素归纳出以下三种最佳组合方案:
❶8%浓度兔血清用蒸馏水作基础液,不加维生素;
❷8%浓度兔血清用缓冲剂作基础液,加维生素;
❸8%浓度兔血清用自来水作基础液,加维生素。
☚ 交叉试验   拉丁方试验 ☛
00013194
随便看

 

离鸟网收录3541549条中英文词条,其功能与新华字典、现代汉语词典、牛津高阶英汉词典等各类中英文词典类似,基本涵盖了全部常用中英文字词句的读音、释义及用法,是语言学习和写作的有利工具。

 

Copyright © 2004-2024 vtrois.com All Rights Reserved
更新时间:2026/4/18 19:52:02