网站首页  词典首页


请输入您要查询的字词:

 

字词 松果体激素
类别 中英文字词句释义及详细解析
释义
松果体激素

松果体激素

松果体属于神经内分泌器官,已知松果体分泌两类激素:
❶吲哚类激素: 褪黑激素(MT);
❷肽类激素: 8-精氨酸加压催产素(AVT)。
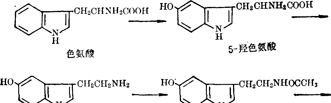
褪黑激素的作用发现于1917年,当蛙吃了牛松果体抽提物后,皮色很快褪色。1958年Lerner等首次从牛松果体中分离出活性成分,化学结构为N-乙酰基-5-甲氧基色胺。MT是以色氨酸为原料转变合成的,先经过羟化酶生成5 -羟色氨酸,此羟化酶与酪氨酸羟化酶性质相似,并需生物蝶呤啶为辅酶。5-羟色氨酸经脱羧酶作用生成5-羟色胺。此脱羧酶的特异性不高,可能与多巴脱羧酶相同,以维生素B6为辅酶。以上反应在许多神经组织中均能进行,但以下的反应只有在松果体中进行。胺。松果体中N-乙酰转移酶的活性夜间大于白昼。刺激交感神经能升高此酶的活性,这一作用可用利血平或其它β受体阻断剂所阻断,因此认为交感神经兴奋是通过去甲肾上腺素对松果体β受体的作用,激活腺苷酸环化酶,再通过cAMP等激活N-乙酰转移酶。N-乙酰-5-羟色胺经羟吲哚-O-甲基转移酶 (HIOMT)的作用甲基化生成MT。


松果体是哺乳类体内唯一具有高浓度HIOMT的组织,所以认为MT只能在松果体内合成。又由于MT能复制出松果体抽提物的许多作用 并能消除动物因切除松果体而引起的一系列内分泌改变,所以证明MT是松果体的激素。人的松果体中已证明含有MT。
精氨酸加压催产素是1963年首次从牛的松果体中发现。它具有催产素的五肽环和加压素的三肽侧链,第8位是精氨酸,所以命名为AVT。人胚胎松果体的实质细胞,在离体培养条件下,也能合成一种类似AVT的肽类物质。近年来还发现松果体内尚含有促性腺激素释放激素,促甲状腺激素释放激素和生长抑素等多肽类物质。
现已证明,除了松果体中含有MT外,中枢神经系统中也含有,其中以丘脑下部和脑干的含量最高。当松果体切除后,脑区中的MT消失,提示脑组织中的MT来源于松果体。脑组织,特别是丘脑下部和脑干,能摄取外源注入的放射性MT。因此有人提出,脑的这些部位可能是MT的特异靶器官。
临床药理学的研究也证明,MT有诱发睡眠、松弛消化道、支气管及子宫平滑肌的药理作用。
除了上述的对神经系统的作用外,最早引起人们注意的是松果体的非实质细胞瘤常导致性早熟,而实质细胞瘤常导致性功能减退及发育延缓,提示松果体激素具有抑制性激素的作用。给动物注射MT,可减轻性腺和附属性器官的重量,降低卵巢和子宫中DNA的含量,延缓未成年动物的性成熟。
1973年Petham等利用蛙皮肤褪色的生物测定法,证明正常男性血浆中有类似MT的物质存在,其含量具有24h周期性变化,并随年龄的增长而减少。1975年Lynch等用吸附剂将人尿中MT吸附,洗脱后用类似上述的生物测定法,测定4名女子2名男子,年龄18至45岁,每8h间隔排出的尿液中MT的含量,发现午后11时至次晨7时这一段时间内排出的MT含量大于其它时间,即夜间排出量大于白昼,年青人差别尤为显著。1976年Wetterberg等用放射免疫法测定5例健康妇女,年龄30~41岁,月经周期中血浆中MT的浓度。发现在月经期MT浓度最高,而在周期的中期最低,此时相当于促黄体生成激素(LH)的高峰期,他们认为。中期低浓度的MT可能与排卵过程有关,并参与人类月经周期的调节。也有人认为,松果体对妇女的各种生理过程 (性成熟、初潮、妊娠、分娩、绝经等)可能均有重要的作用。
松果体功能的调节 (1)性激素对松果体的作用:近年的实验表明,性激素调节着松果体的内分泌功能。外源注入雌二醇可以引起动物松果体细胞的形态学改变,并使松果体中DNA、RNA和蛋白质的含量增加,同时还降低去甲肾上腺素对松果体细胞膜的作用。松果体上存在各种性激素的受体。因此激素对松果体的作用可能是直接的。提示松果体内确实存在着某种雌二醇的反馈作用。
(2) 交感神经对松果体的作用. 松果体受颈上神经节交感神经的支配,切除颈上神经节或切断其节前纤维,松果体中酶活性的节律性消失。离体实验证明,在松果体的培养液中加入去甲肾上腺素,可使内源性cAMP增加,β受体阻断剂能完全抑制这一作用,提示去甲肾上腺素作用于松果体表面的β受体,激活腺苷酸环化酶系统,刺激松果体激素的合成。
(3) 光线对松果体的作用,从种系发生上看,低等动物的松果体是第三只眼睛,在两栖类仍起到光感受器的作用。哺乳类的松果体不再具有光感受器的功能,但由视网膜细胞发生的一类神经来支配着松果体,所以环境光线仍影响松果体的功能,动物试验证明光照抑制松果体的活动,黑暗则刺激其作用。前述的人体血浆中MT和尿液中MT含量的昼夜变化可能与光照有关。
综上所述,对松果体的神经内分泌功能已有了初步的了解,但它所分泌的激素可能不仅为MT和AVT二种,尤其是对人类松果体激素及其作用的研究,尚处于起始阶段,鉴于松果体激素对生殖系统的抑制作用,特别是AVT对某些动物具有抗生育作用,所以松果体激素可能在计划生育的研究中开辟一条新的途径。
☚ 胸腺激素   化学反应,活化能,能阈 ☛
00000728
随便看

 

离鸟网收录3541549条中英文词条,其功能与新华字典、现代汉语词典、牛津高阶英汉词典等各类中英文词典类似,基本涵盖了全部常用中英文字词句的读音、释义及用法,是语言学习和写作的有利工具。

 

Copyright © 2004-2024 vtrois.com All Rights Reserved
更新时间:2026/4/17 21:16:59