网站首页  词典首页


请输入您要查询的字词:

 

字词 乐咳平[中]
类别 中英文字词句释义及详细解析
释义 乐咳平[中]

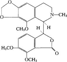
C22H23NO7=413.43

CAS-128-62-1

6,7-二甲氧-3-(5,6,7,8-四氢-4-甲氧-6-甲基-1,3-二氧杂环戊烯并[4,5-g]异喹啉-5-基)-1(3H)-异苯并呋喃酮。

6,7-Dimethoxy-3-(5,6,7,8-tetrahydzo-4-methoxy-6-methyl-1,3-dioxolo[4,5-g]isoguinolin-5-yl)-1(3H)isobenzofuranone.

镇咳药。用于干咳。

那可汀,诺斯卡品。

Narcotine,Tusscapine,Noscapine.

乐咳平片,乐咳平干糖浆。

INN,BAN,BP,DCF,EP,FP,JP,NFN,USAN,USP,MI.

随便看

 

离鸟网收录3541549条中英文词条,其功能与新华字典、现代汉语词典、牛津高阶英汉词典等各类中英文词典类似,基本涵盖了全部常用中英文字词句的读音、释义及用法,是语言学习和写作的有利工具。

 

Copyright © 2004-2024 vtrois.com All Rights Reserved
更新时间:2026/4/18 15:42:33