网站首页  词典首页


请输入您要查询的字词:

 

字词 乌骚风
类别 中英文字词句释义及详细解析
释义 乌骚风

【名称出处】:《分类草药性》

【概况】:

异名 乌骨鸡、黑乌骨(《四川中药志》)。

基源 为萝藫科杠柳属植物青藤蛇的茎。杠柳属全世界约12种,中国约4种。

原植物 青蛇藤Periploca calophylla(Wight)Falc.,又名宽叶风仙藤(云南)。

形态 藤状灌木,具乳汁,除花外,全株无毛。幼枝灰白色,干时具纵条纹,老枝黄褐色,密被皮孔。叶近革质,椭圆状披针形,长4.5~6cm,宽约1.5cm,顶端渐尖,基部楔形;叶缘具1边脉;叶柄长1~2mm。

聚伞花序腋生,长约2cm,著花达10朵;苞片卵圆形,具缘毛;花萼裂片卵圆形,长约1.5mm,宽约1mm,具缘毛,花萼内面基部有5个小腺体;花冠深紫色,辐状,外面无毛,内面被白色柔毛,花冠简短,裂片长圆形;副花冠环状,著生在花冠基部,5~10裂,其中5裂延伸为丝状,被长柔毛;雄蕊著生在花冠基部,花丝离生,背部与副花冠合生,花药卵圆形,渐尖,背部被长柔毛,花药彼此相连并贴生柱头上;子房无毛,心皮离生,胚珠多个,花柱短,柱头短圆锥状。顶端2裂。

蓇葖果双生,长条状,长约12cm,直径约5mm;种子长圆形,长约1.5cm,宽约3mm,黑褐色,顶端具白色绢质种毛、种毛长3~4cm。花期4~5月,果期8~9月。

(图见《中国高等植物图鉴》第3册.466页.图4885)

生境与分布 生于海拔1000m以下的山谷杂树林中。分布于中国西南及湖北。

。【化学】:

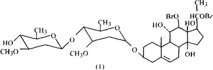
含强心糖甙和孕甾烷糖甙(Pregnane glycosides)[1] 嫩枝中含去氧已糖、加大麻糖(Cymarose)、杠柳甙元(Periplogenin)、青蛇藤甙(Calocin)[2]、乌骚风甙元(Plocigenin)[3]、乌骚风甙(Plocin)(1)、及具它孕甾烷糖甙(Locin[4]、Phyllacin、Calocinin[5]、Plocinin[6])。另含β-香树精(β-Amyrin)、α香树脂醇乙酸酯、羟基12-烯28-羧齐墩果酸等[1]

参考文献 [1] J Nat Prod 1983;46(4):458 [2] J Nat Pord 1982,45(2),211 [3] Phytochemistry 1985;24(5):1037 [4] In dian J Chom Sedt B 1986;25B(1) 44 [5] I Nat Prod 1988;51(4)·787 [6] Phytochemistry 1985;24(12)·3015

【药性】:

性味 辛、微苦,温。

❶ 《四川中药志》:“辛、微苦,热。”
❷ 《全国中草药汇编》:“辛、微苦,温。”

功效 祛风,散寒,除湿,活血。

主治 ❶ 《分类草药性》:“走表散寒,治腰痛,去风散血。”
❷ 《四川中药志》:“治腰痛,风湿麻木,跌打损伤,蛇咬伤。”
❸ 《全国中草药汇编》:“风湿麻木,腰痛,跌打损伤,月经不调。”

用法用量 内服:煎汤,9~12g;或浸酒。外用:浸酒搽。

【临床应用】:

方选和验方 ❶ 《四川中药志》:“治风湿关节疼痛:乌骚风15g,刺五加9g,凤仙花根9g,红牛膝9g。泡酒服。”
❷ 《四川中药志》:“治风湿腰痛;乌骚风12g,石吊兰12g,香巴戟12g,地苏木12g。水煎,加酒适量兑服。”

食疗 《四川中药志》:“治风湿手脚麻木:乌骚风9g。红活麻根15g,胭脂花根30g。炖肉服。

随便看

 

离鸟网收录3541549条中英文词条,其功能与新华字典、现代汉语词典、牛津高阶英汉词典等各类中英文词典类似,基本涵盖了全部常用中英文字词句的读音、释义及用法,是语言学习和写作的有利工具。

 

Copyright © 2004-2024 vtrois.com All Rights Reserved
更新时间:2026/4/19 11:56:22