网站首页  词典首页


请输入您要查询的字词:

 

字词 来福灵
类别 中英文字词句释义及详细解析
释义

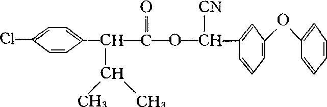
来福灵esfenvalerate

又称顺式氰戊菊酯、sumialpha、asana。化学名称:(S)-α-氰基-3-苯氧苄基(S)-2-(4-氯苯基)-3-甲基丁酸酯。化学结构式如上。是氰戊菊酯四个光学异构体之一,(S)(S)顺式氰戊菊酯在四个异构体中毒力最大,是氰戊菊酯毒力的4倍。理化性质、毒性及防治对象与氰戊菊酯相似。对氰戊菊酯已产生抗性的害虫,对来福灵产生交互抗药性。

随便看

 

离鸟网收录3541549条中英文词条,其功能与新华字典、现代汉语词典、牛津高阶英汉词典等各类中英文词典类似,基本涵盖了全部常用中英文字词句的读音、释义及用法,是语言学习和写作的有利工具。

 

Copyright © 2004-2024 vtrois.com All Rights Reserved
更新时间:2026/4/20 19:30:35