网站首页  词典首页


请输入您要查询的字词:

 

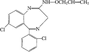
字词 乌达西泮
类别 中英文字词句释义及详细解析
释义 乌达西泮

C18H15Cl2N3O=360.24

CAS-28546-58-9

2-[(烯丙氧基)氨基]-7-氯-5-邻-氯苯基-3H-1,4-苯并二氮杂

2-[(Allyloxy)amino]-7-chloro-5-(o-chlorophenyl)-3H-1,4-benzodiazepine.

7-氯-5-(2-氯苯基-N-(2-丙烯氧基)-3H-1,4-苯并二氮杂-2-胺。

7-Chloro-5-(2-chlorophenyl)-N-(2-propenyloxy)-3H-1,4-benzodiazepin-2-amine.

安定药。

Uldazepam,U31920.

INN,NFN,USAN.

随便看

 

离鸟网收录3541549条中英文词条,其功能与新华字典、现代汉语词典、牛津高阶英汉词典等各类中英文词典类似,基本涵盖了全部常用中英文字词句的读音、释义及用法,是语言学习和写作的有利工具。

 

Copyright © 2004-2024 vtrois.com All Rights Reserved
更新时间:2026/4/18 16:14:08