乌替普利
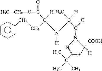
C22H31N3O5S=449.57 CAS-109683-61-6 (S)-2-叔-丁基-4-[(S)-N-[(S)-1-羧-3-苯丙基]丙氨酰胺]-△2-1,3,4-噻二唑啉-5-羧酸,4-乙酯。 (S)-2-tert-Butyl-4-[(S)-N-[(S)-1-carboxy-3-phenylpropyl]alanyl]-△2-1,3,4-thiadiazoline-5-carboxylic acid,4-ethyl ester. 抗高血压药。 Utibapril,Methenamine. INN,BAN,USAN.  |