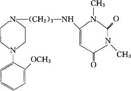
乌拉地尔
C20H29N5O3=387.48 CAS-34661-75-1 6-[[3-[4-(邻-甲氧苯基)-1-哌嗪基]丙基]氨基]-1,3-二甲基-2,4(1H,3H)-嘧啶二酮。 6-[[3-[4-(o-Methoxyphenyl)-1-piperazinyl]propyl]amino]-1,3-dimethyl-2,4(1H,3H)-pyrimidinedione. 6-[3-[4-(2-甲氧苯基哌嗪-1-基)丙基]氨基]-1,3-二甲基脲嘧啶。 6-[3-[4-(2-Methoxyphenylpiperazin-1-yl)propyl]amino]-1,3-dimethyluracil. 抗肿瘤药,血管扩张药。 Urapidil,Ebrantil,B-66256. INN,BAN,USAN,MI. 
|