乌头碱
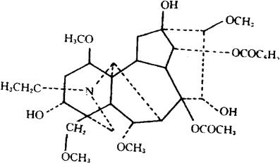
C34H47NO11=645.72 CAS-302-27-2 (1α,3α,6α,14α,15α,16β)-20-乙基-1,6,16-三甲氧基-4-(甲氧代甲基)乌头烷-3,8,13,14,15-五醇8-乙酸盐14-苯甲酸盐。 (1α,3α,6α,14α,15α,16β)20-Ethyl-1,6,16-trimethoxy-4-(methoxymethyl)-aconitane-3,8,13,14,15-pentol 8-acetate 14-benzoate. 16-乙基-1,16,19,三甲代基-4-(甲氧基甲基)乌头烷-3,8,10,11,18-五醇8-乙酸盐10-苯甲酸盐。 16-Ethyl-1,16,19-trimethoxy-4-(methoxymethyl)aconitane-3,8,10,11,18-pentol 8-acetate 10-benzoate. 乙酰苯甲酰基阿康碱。 Acetylbenzoylaconine. 解热药。用于中等的发汗药及降低心力及心率的药物。 Aconitine. USP,USAN,MI.  |