网站首页  词典首页


请输入您要查询的字词:

 

字词 杀螨特
类别 中英文字词句释义及详细解析
释义

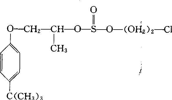
杀螨特aramite

有机硫杀螨剂。化学名称:2-(对-特丁基苯氧基)异丙基-2′-氯-乙基亚硫酸酯。化学结构式如下。原药为无色液体,沸点为175℃(13.33 Pa),密度为1.145~1.62(20℃),不溶于水,可与大多数有机溶剂互溶。在中性下稳定,遇强酸、强碱分解,阳光照射下分解,遇水分解。对成螨有强烈而迅速的触杀作用,残效期约7~10天。大鼠急性口服LD50为3900mg/kg。美国农部限用于非食用作物上。

随便看

 

离鸟网收录3541549条中英文词条,其功能与新华字典、现代汉语词典、牛津高阶英汉词典等各类中英文词典类似,基本涵盖了全部常用中英文字词句的读音、释义及用法,是语言学习和写作的有利工具。

 

Copyright © 2004-2024 vtrois.com All Rights Reserved
更新时间:2026/4/18 12:46:44