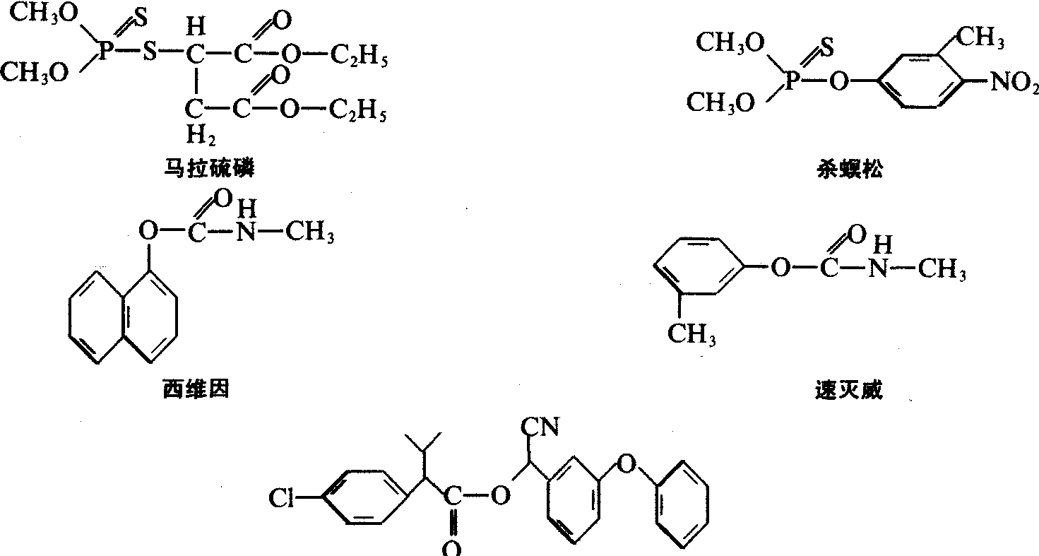
化学物质 化学物质吡 苄 剂(试~;杀虫~) 化合物:羰 卟 哒 羧茎 巯茎 羟茎硭硝 硇砂 有机化合物:脂 肽 膦 胂 腈 胩 肼 脲 胨 甾 腙 肟 胍 氨胺 铵 脎 烷 烯 炔 烃 脒苎 醇 酰 酚 酮 醛 醚 酯醌 酞 酶 醣 酐 嗪 砜 甙羟 莰 苯 茚 萘 菲 蒽 苷蒈 苊 鏻 鉮 凎 啶 糖 蜡噻吩 吡咯 噻唑 咔唑 吡啶 嘧啶 喹啉 吲哚 呋喃 旦白 嘌呤 哌嗪 萜烯 无机化合物:盐 矾 硝 卤 酸 碱 水 酰 铵 锈 砒霜 石膏 阴精石 一种无机化合物:丹(丹干;丹矸;丹砾;丹朱;丹沙;丹砂) 朱砂辰砂 润泽光艳的朱砂:渥赭 渥丹 渥朱 具有强烈腐蚀性的浓硝酸、浓硫酸:镪(镪水;硝镪水) 金属表面的氧化物:锈(~涩;生~) 铁锈:铁腥 铁衣 铜锈:铜华 铜花 铜青 铜毒 铜黛 铜绿 ☚ 元素 自然的 ☛ 杀虫剂insecticides防治农、林业害虫及病媒昆虫的农药。 简史 中国古籍中早有使用杀虫药剂的记载。11世纪初叶,北宋欧阳修在所著《洛阳牡丹记》 中提到用硫磺杀花虫。1596年明朝李时珍编写的《本草纲目》中,记述了矿物性的砒石、雄黄,植物性的百部、藜芦等的杀虫性能。19世纪中叶以前,其他国家也有了采用砒霜等无机物或鱼藤等植物性杀虫物质来防治害虫的文字记载。19世纪中叶以后,市场上开始出现杀虫剂产品。最初的品种只有砷酸铅、矿油乳剂、除虫菊、鱼藤、硫酸烟碱等无机或天然源杀虫剂。1939年瑞士缪勒(P.Muller)发现有机合成化合物滴滴涕的杀虫性能。第二次世界大战期间,工业化生产的滴滴涕在卫生防疫上发挥了巨大作用,杀虫剂也随之进入了有机合成阶段。此后一 二十年,陆续出现了很多杀虫剂新品种,包括有机氯、有机磷、氨基甲酸酯三大类型的杀虫剂。杀虫剂的吨位成十倍地增长,在农、林业和卫生防疫上得到了广泛应用。化学杀虫剂的大量使用,也带来了影响人体健康、污染生态环境等副作用。为了克服杀虫剂的这些缺点,1970年前后一些国家率先开始对一些副作用较大的杀虫剂品种采取了禁用、限用的措施。另一方面,杀虫剂新品种的研制更注重低毒、低残留的要求,从而使杀虫剂进入了新型品种的开发阶段。这些新品种包括人工模拟合成比天然杀虫活性物质更有效的化合物。其中最为成功的是对天然除虫菊素进行仿生合成的拟除虫菊酯杀虫剂。具特殊生理活性的化合物,如昆虫保幼激素、蜕皮激素、性外激素及具有类似作用的其他仿生合成化合物,也受到普遍重视,研究工作十分活跃,一些品种已商品化并在生产上得到应用。当前,高效、低毒、低残留的杀虫剂新品种仍在积极研制、开发之中,杀虫剂的品种更新及其吨位构成,几乎每年都有变化。 分类 可从来源和作用方式两方面进行分类。 按来源可区分为有机合成杀虫剂、植物源杀虫剂、徽生物杀虫剂及油乳剂等几大类。 有机合成杀虫剂 按化学结构又可分为以下五类。❶有机氯杀虫剂: 一般药效较高、水溶性低、化学性质稳定、在环境中滞留期长。由于这类中大多数品种不仅污染土壤、水体及农、畜产品,而且在人及动物体内有造成累积性慢性中毒的危险。曾在农业及卫生防疫上发挥过巨大作用的滴滴涕、六六六、艾氏剂、狄氏剂等品种因此而先后停产或严格控制使用,大量应用的有机氯杀虫剂品种现已很少。 ❷有机磷杀虫剂: 具有品种多、吨位大、药效较高、在环境中容易降解、一般不污染环境等特点。其中有的品种具内吸作用,有的品种可兼治螨类或线虫等有害生物,各有特色。 ❸氨基甲酸酯杀虫剂: 一般低毒、低残留、易于在环境中降解,且药效较高。个别品种如克百威、涕灭威、灭多威等毒性很高,使用时应遵守规定,注意安全。 ❹ 拟除虫菊酯杀虫剂: 这类中最早的品种,像天然除虫菊酯一样对光照敏感,易分解,只能用于室内防治卫生害虫。1973年英国学者埃利奥特(M.Elliott)研制成功第一个光稳定拟除虫菊酯氯菊酯。目前已有许多对光照稳定的拟除虫菊酯杀虫剂品种,可以用于大田作物。这些药剂均具有高效、低毒、低残留、不污染环境等优点。但许多品种不能兼治螨类,无内吸作用,害虫容易产生抗药性。 ❺沙蚕毒素类杀虫剂:药效较高,作用方式除胃毒、触杀外,还有内吸和一定的熏蒸作用。对人、畜毒性中等。中国开发的杀虫双、杀虫单,结构较简单,成本较低,已成为中国的大吨位杀虫剂品种之一。 植物源杀虫剂 如烟碱、鱼藤、除虫菊等。它们往往是多种有生物活性物质的混合物,一般对人、畜低毒,不污染环境,对农作物安全,害虫不易产生抗药性。但来源有限,难于大吨位生产。 微生物杀虫剂 如苏云金杆菌、白僵菌等。一般对人、畜低毒,在适宜条件下可在田间自然繁殖,最大限度地控制害虫种群,但作用发挥较慢。 无机杀虫剂 如砷制剂、氟制剂等。可能由于多作用点原因,一般害虫不易产生抗药性。但对人、畜毒性高,可污染农产品和环境,现已不常用。 油乳剂 无论是矿物油(柴油、煤油、机械油等)还是动、植物油(鱼油、鲸油、棉籽油、茶油等)都可以直接使害虫致死。致死的原因主要是由于其物理作用。例如油剂封闭害虫气门,侵蚀介壳虫类体表的蜡质层等。油乳剂除可自行配制外,30~ 40年代也有商品油乳剂出售。一般根据不同油类的性质加以适当的乳化剂而配成一定浓度的水包油乳剂,使用时对水喷雾。油乳剂对人、畜虽然无毒,但当浓度不当时油对植物易产生药害。50年代初,棉油乳剂在中国的棉蚜防治上曾起过一定作用。矿油乳剂在果树芽前喷布,防治介壳虫、螨类及害虫越冬卵也曾普遍应用。由于效果不如化学农药,目前已很少应用。 按作用方式可大致区分为杀生性和非杀生性(non-biocidal)两大类。 杀生性杀虫剂 以杀死害虫个体为目标的杀虫剂。包括:❶胃毒剂。经昆虫取食进入体内引起中毒的杀虫剂。 ❷触杀剂。经昆虫体壁进入体内引起中毒的杀虫剂。 ❸内吸剂。杀虫剂通过植物的叶、茎、根部或萌发前后的种子吸收进入植物体内,并在植物体内输导、扩散、存留或产生有生物活性的其他代谢物,昆虫在取食植物组织或刺吸式口器昆虫在吸食植物汁液时,杀虫剂进入昆虫体内引起中毒。有些杀虫剂能被植物吸收进入植物组织,但难于输导、扩散,仅在施药的局部点发挥毒作用,称为渗透作用。如对硫磷喷洒在叶面能杀死在相应叶背面取食的一些刺吸式口器昆虫。 ❹熏蒸剂。杀虫剂施用后,呈气态或气溶胶态的生物活性成分,经昆虫气门进入体内引起中毒。 非杀生性杀虫剂 对害虫的生理行为产生较长期影响,使其不能继续繁衍为害的杀虫刹,也称特异性杀虫剂(insecticide with special mode of action)。它们一般对人、畜低毒,不杀伤天敌,有的品种生物活性很高。包括下述五类:❶引诱剂。能将一定范围内的昆虫引诱到药剂所在处的杀虫剂。通常分为食物引诱剂、性引诱剂、产卵引诱剂。 ❷驱避剂。能使昆虫忌避而远离药剂所在处的杀虫剂。目前主要用于驱避卫生害虫以保护人、畜。 ❸拒食剂。能使昆虫产生拒食反应的杀虫剂。它不使昆虫忌避,但昆虫取食了药剂处理的植物后,短时间内即停止取食;产生拒食反应的昆虫通常也拒绝取食未经拒食剂处理的宿主植物,直至饿死。 ❹不育剂。昆虫摄入药剂后,生殖机能被破坏,不产卵,或产出不能孵化的卵,或孵化的子代不能正常发育。 ❺昆虫生长调节剂。通过扰乱昆虫正常生长发育,使昆虫个体生活能力降低、死亡或种群灭绝的杀虫剂。包括保幼激素、抗保幼激素、蜕皮激素、几丁质合成抑制剂等。有的也将不育剂包括在内。 研究内容及主要课题 杀虫剂的研究内容包括合成、加工、分析、生物测定、毒性、毒理、环境毒理、抗药性等方面。主要课题有毒性、抗药性、新品种开发等。 毒性 杀虫剂对昆虫有生物活性,对人、畜及其他动物或多或少也有一定毒性(见农药毒性)。这种毒性分为急性毒性和慢性毒性。急性毒性是指一次口服、皮肤接触或呼吸摄入一定剂量的杀虫剂,能在短时间内引起急性病理反应的毒性。口服毒性在急性毒性中虽然最为主要,但施用杀虫剂时的生产性中毒,皮肤接触或呼吸摄入往往更为重要。慢性毒性则指长时期内连续食用、接触或吸入低于急性中毒剂量的杀虫剂,而引起慢性病理反应的毒性。慢性毒性中最值得注意的是致畸、致基因突变、致癌的危险。有的有机氯杀虫剂品种在人体内累积,造成累积性中毒;有的有机磷杀虫剂品种存在迟发性神经毒性,这些都属于慢性毒性。杀虫剂施用后,大部分在物理、化学、生物因子的作用下,降解为无毒物质,但在一定时间内仍有微量的杀虫剂会残留在农产品及环境中,包括土壤、水体、大气及其他动植物体。这种残留的杀虫剂对人、畜或其他动物有可能造成潜在危害。农、畜产品中如带有杀虫剂的过量残留,在长期食用的情况下也可能影响人体健康。随着科学技术的进步,对杀虫剂毒性的认识不断深化。有的杀虫剂品种以往仅从急性毒性角度被认为“毒性不大”,后来发现其本身,或原药生产中难以避免的杂质,或其代谢产物,存在慢性毒性,而被禁用淘汰。毒性问题是研制杀虫剂新品种的一个难点,慢性毒性是已有杀虫剂品种是否能继续使用的关键问题。 抗药性 随着某种杀虫剂连续单一使用,其防治对象害虫能发展成对此种杀虫剂有明显忍耐能力的种群,形成为一个新品系,能杀死正常种群大多数个体的药剂剂量,对这种品系的害虫却无效,即为抗药性现象(见害虫抗药性)。害虫一旦产生抗药性,不但给害虫的防治带来困难,造成经济损失,而加大用药量又会造成对环境更严重的污染。有时,某种害虫种群对一种常用杀虫剂产生了抗药性,会对另一种未曾使用过的杀虫剂也有了抗药性,称交互抗药性。交互抗药性的存在使害虫产生抗药性后,用于防治的有效杀虫剂大为减少,给防治工作带来更大困难。抗药性问题是影响一种杀虫剂使用寿命的重要因素。 新品种开发 由于人们对杀虫剂毒性认识的不断深化,由于害虫种群对很多杀虫剂品种产生抗药性,从而限制了杀虫剂品种的使用寿命。为了更好地进行植物化学保护,需要不断地研究和开发新的杀虫剂品种。新品种的开发,一般要由设计化合物新结构或大量合成新化合物开始,经生物测定筛选出具生物活性者,再通过田间药效试验和毒性测定;能否投产商品化,还决定于合成工艺、产品成本、防治对象、施用后的经济效益等多种因素。杀虫剂新品种也往往在提高药效、扩大使用范围、降低毒性、减轻污染等一个或几个方面具有意义。不但应该在现有杀虫剂类型中研制新品种,还应努力发现作用机制不同的新类型,目前在这方面的研究已经有了进展。现有杀虫剂主要类型如有机氯、有机磷、氨基甲酸酯、菊酯等,作用机制大致都是神经毒剂范畴,某些害虫对它们能产生交互抗性。如果能创制出作用机制不完全相同或完全不相同的新杀虫剂类型,对于克服害虫抗药性问题将是个突破。 杀虫剂insecticide以昆虫为防治对象的一类农药。用来防治农、林、牧、卫生及贮粮等害虫或其他节肢动物。一般通过胃毒、触杀、薰蒸、驱避、残留接触及内吸等作用方式杀死或控制害虫为害。现用的杀虫剂根据它们的化学成分分为:无机杀虫剂;有机磷、有机氯、有机硫、氨基甲酸酯、甲脒类、硫氰酸酯、二硝基酚、有机锡、合成除虫菊醋、熏蒸剂;植物类;微生物类制剂等。 杀虫剂用于防治植物害虫的农药。如敌百虫、杀虫双等。按作用方式分为10类:触杀剂、胃毒剂、内吸剂、熏蒸剂、拒食剂、驱避剂、诱致剂、不育剂、昆虫生长调节剂、黏捕剂。从构成上主要品种有7类:❶有机氯杀虫剂,其中滴滴涕和六六六从20世纪70年代起许多国家禁用或限制使用; ❷有机磷杀虫剂,约400个品种; ❸氨基甲酸酯类杀虫剂; ❹拟除虫菊酯类杀虫剂; ❺沙蚕毒素类杀虫剂; ❻植物性杀虫剂,约1000多种; ❼无机及矿物性杀虫剂。 杀虫剂 杀虫剂Shachongji能够毒杀危害农作物、果树、林木、蔬菜、仓贮和环境卫生的昆虫以及家畜、家禽体内外寄生虫的一类药剂的总称。 杀虫剂可分为生物源和化学合成两大类。生物源杀虫剂包括: ❶从高等植物中提取的杀虫有效成分的制剂,如天然除虫菊素、鱼藤酮等; ❷利用微生物活体制成的杀虫剂,主要有真菌 (如白僵菌)、细菌 (牙孢杆菌) 和病毒 (如杀螟杆菌) 三类; ❸ 昆虫生理活性物质,如信息素等。化学合成杀虫剂主要包括: 无机杀虫剂 (如白砒 As2O3,氟硅酸钠Na2SiF6等)、有机氯杀虫剂 (如氯丹、六六六、滴滴涕、毒杀芬等)、有机磷杀虫剂 (如敌敌畏、敌百虫、乐果、马拉硫磷、杀螟松等)、氨基甲酸酯类杀虫剂 (如西维因、速灭威等) 和拟除虫菊酯类杀虫剂(如氰戊菊酯、氯氰菊酯等)。一些化学合成杀虫剂的结构式如下:

氰戊菊酯 杀虫剂对害虫毒杀作用的主要方式是: ❶触杀药剂通过害虫的表皮进入体内发挥作用,使害虫中毒死亡; ❷ 胃毒 药剂直接被害虫食用后通过肠胃的吸收,使其中毒死亡; ❸熏蒸 某些药物挥发性大,其蒸气通过害虫呼吸道进入体内,使其中毒死亡; ❹内吸 药物首先被作物吸收,并传导到整个植株,当害虫吸、食作物时,使它中毒死亡。如拟除虫菊酯类有强烈的触杀作用,杀螟松、西维因有触杀和胃毒作用,乐果、1059等除有触杀作用外,更突出的是内吸作用。 使用杀虫剂是防治害虫的一种现代化技术,具有方便、快速、高效、经济等优点。近十几年中,除了使用高效低毒、对环境污染很小的品种如除虫菊酯类杀虫剂外,微生物杀虫剂、昆虫生长调节剂、昆虫行为控制剂等新品种也得到了开发应用。据统计,金世界杀虫剂已达500多种,对1万余种害虫中危害最大的600多种起到了良好的防治作用。大多数杀虫剂是通过神精系统起作用的。由于各种药物的结构、性能、毒性、作用机理、适用对象和安全性方面都有差异,使用时应注意选择。如使用不当,也会出现人、畜中毒,污染环境,破坏生态平衡等弊病。为不使害虫产生抗药能力,不要长期使用单一品种的杀虫剂。 ☚ 常用化肥的鉴别 杀菌剂 ☛ 杀虫剂能防治农作物、森林、牲畜、家畜及贮粮中有害昆虫的药剂。多数兼杀螨作用。如有机磷杀虫剂等。 杀虫剂毒杀媒介昆虫及其他有害节肢动物的药物。见灭虫剂。 杀虫剂insecticides是用以杀灭媒介昆虫,如蚊、蝇、蚤、臭虫、虱子等的药物。以有机磷杀虫剂最常用,虽然选择性作用于虫体胆碱酯酶,但对人畜仍有毒性。近年应用的除虫菊酯,虽对人畜无毒,但对虫体只起麻醉作用。 杀虫剂 杀虫剂在医学中,杀虫剂系指毒杀媒介昆虫及其他有害节肢动物的药物。人们认识卫生害虫对健康的威胁以来,一直在寻找着有效的杀虫药物。18世纪至20世纪初,多使用无机杀虫剂巴黎绿、砷酸钙、氟化钠或植物杀虫剂除虫菊、鱼藤等等。自1939年发现滴滴涕优良杀虫作用及1942年发现六六六杀虫效力后,有机磷、氨基甲酸酯类、拟除虫菊酯类与昆虫生长调节剂类等杀虫剂相继出现,为有机杀虫药物发展开创了新局面。 有机杀虫剂一般具广谱、长效、高效等特点,可迅速压低虫群密度,为目前防制卫生害虫的主要药物。此类杀虫剂发展甚速,已有数十品种得到广泛应用,除滴滴涕、狄氏剂与六六六等有机氯杀虫剂因在自然界不易降解,某些国家已限用或禁用外,其他如有机磷类与氨基甲酸酯类等杀虫剂的新品种仍在研究发展。拟除虫菊酯类杀虫剂通过合成与使用的改进,也已日渐受到重视。 工业生产的杀虫剂仅原粉与原油两类,除少数原油可直接用于超低容量喷洒外,均须制成适宜剂型和制剂。常用杀虫剂剂型有: 粉剂、可湿性粉剂、乳油、烟剂、气雾剂与缓释剂等,制剂的品种则更为繁多。杀虫剂须通过剂型和制剂的合理配伍才可充分发挥作用。 粉剂适于喷撒地面、床铺, 以灭蚤、臭虫、 𧍃蠊、蜱、螨等,或用于衣、被灭虱。药效持久,皮肤不易吸收,不污染衣物,但作用较油剂、乳剂为慢。 可湿性粉剂水悬液,用于处理粗糙表面,药物不易被吸收,效果持久,但速效不如油剂与乳剂,常用于室内滞留喷洒。 油剂与乳剂穿透性好,作用快,药效持久,但油剂易产生植物药害。高浓度油剂可用于超低容量空间喷洒,制剂须具有适宜的粘度、挥发度与表面张力,并对植物无药害。 烟剂或热雾适用于闭合空间和林区,可大范围施放,作用快速,但无滞效。在开阔地施放,须掌握气象条件,利用好地形和地势。气雾剂为一使用方便的剂型,可装于金属罐内,以氟里昂为发射剂喷出,或经特殊器械用压缩空气喷出(见“杀虫喷洒器械”条)。含天然除虫菊素或拟除虫菊酯的气雾剂,作用快,效果好,无刺激,无污染,为室内速效杀虫优良制剂,但多无残效作用。 缓释剂为近年发展的新剂型,系将杀虫剂经特殊处理吸附或包藏于某些载体内,使之缓慢释放以延长药效,降低毒性,减少环境污染。多用于杀灭水体内蚊幼。 对杀虫剂毒性的衡量,过去仅考虑急性中毒,近年因认识到慢性毒性的重要意义,已将致癌、致畸、致突变以及对生殖和代谢的影响等亦列为衡量标志。 理想杀虫剂应: ❶对害虫有剧毒,对人、畜低毒或无毒; ❷有多种杀虫作用,既可直接经昆虫的消化道、表皮、气孔引起中毒,亦可经内吸方式间接引起中毒; ❸可制成多种剂型,并可混合配制成各种制剂而性质不变; ❹化学性质稳定,耐储存,在自然环境中可逐渐降解; ❺无不良气味,无驱虫作用; ❻一般用量对植物无药害; ❼不腐蚀物品,特别金属器具; ❽生产简易,价格便宜。显然,寻找完全符合上述条件的药物,尚需作巨大努力。目前各国杀虫剂生产者既在寻找新型药物,同时亦集中相当力量从事原有品种的改进。 ☚ 杀虫 有机氯杀虫剂 ☛ 杀虫剂insecticide
杀虫剂insecticide 杀虫剂in secticide;pesticide |