杀菌剂fungicides在一定剂量或浓度下,具有杀死植物病原菌, 或抑制其生长发育的农药。 简史 最早发现并用于防治植物病害的主要是化学元素、天然物和无机化合物。早在公元前1000年,就发现了硫磺的防病作用。公元前470年有人喷洒橄榄浸出液防治疫病和使用酒和柏叶混合物浸渍小麦种子防治病害。1705年升汞先被用作木材防腐剂,后又用于防治小麦腥黑穗病。硫磺在防治植物病害上得到广泛应用是在1824年发现其对桃白粉病有特效之后,1880年美国以石硫合剂防治葡萄白粉病获得成功,从此开创了石硫合剂防治植物病害的历史。1761年首次采用硫酸铜处理小麦种子防治种传病害,1882年法国科学家米拉尔代(P.M .A.Millardet)发现波尔多液对葡萄霜霉病有良好防效,确立了波尔多液在杀菌剂中的地位,迄今仍有应用。 18世纪末至19世纪50年代,人们为了寻求铜、汞制剂的代用品,加强了对有机杀菌剂的研究。影响最大的应该是1934年蒂斯德尔(W.H.Tisdale)等报道的二硫代氨基甲酸衍生物的杀菌作用。这一发现,开辟了有机化合物作为杀菌剂的新纪元。继发现福美锌、福美铁、福美双的杀菌活性之后,1935年杜邦公司又发现了代森类中代森钠的杀菌活性,1943年投入生产。60年代后,二硫代氨基甲酸盐类杀菌剂逐步发展成为世界范围内产量最大的 一类杀菌剂。 有机杀菌剂到目前为止已有近300个品种相继商品化,取代苯类有五氯硝基苯、六氯苯、百菌清等数十个品种、三氯甲硫基类杀菌剂主要有灭菌丹和克菌丹。50年代以后,有机汞以及醌类、有机锡、有机磷和农用抗生素类杀菌剂都有不少品种实用化。1969年和1970年日本曹达化学公司开发的乙基硫菌灵和甲基硫菌灵是两个最优秀的品种,尤其后者在蔬菜果树上普遍推广使用。60年代日本在开发防治水稻纹枯病的杀菌剂时,成功地推出了福美胂、田安等有机砷杀菌剂。特别值得提出的是,杂环杀菌剂中,出现了一批良好的内吸性杀菌剂。 内吸性杀菌剂取得突破性进展,实际是以1960年尤尼罗伊尔(Uniroyal)公司发现萎锈灵的内吸杀菌活性为开端的。1966年萎锈灵和氧化萎锈灵同时商品化。后来,相继出现了苯菌灵、十二吗啉、甲基硫菌灵、嗪氨灵等。70年代以三唑酮为代表的三唑类内吸杀菌剂,受到普遍重视。但上述内吸杀菌剂都对卵菌的许多重要病害效果很差。1977年瑞士汽巴—嘉基(Ciba-Geigy)公司成功地开发出防治卵菌所致病害的优良内吸杀菌剂甲霜灵。不仅药效高,用量少而且有双向传导性能,使内吸杀菌剂进入广泛使用的新阶段。中国是使用元素及无机药剂防治植物病害很早的国家之一,在古代多种著名著作中有记载(见农药发展史)。50年代应用最多的仍是无机杀菌剂和铜、汞制剂。取代苯类如五氯硝基苯也得到了应用。60年代二硫代氨基甲酸盐类和有机砷制剂得到广泛使用。70年代开发出多菌灵,并发展成中国生产量最大的杀菌剂品种之一。同时,中国的农用抗生素井冈霉素在防治水稻纹枯病上也普遍推广应用。80年代以来,诸如有机磷的稻瘟净、乙磷铝;杂环杀菌剂中的三唑酮、三环唑、稻瘟灵;取代苯类的甲基硫菌灵、百菌清、甲霜灵等许多优良的杀菌剂都进行了推广应用。 类型和特点 杀菌剂有多种分类方法,每种类型有其各自的特点。 按防治对象可分为三类:❶杀真菌剂(fungicides)是防治真菌性植物病害的杀菌剂。植物病害绝大多数是由病原真菌引起的,杀真菌剂是主要一类杀菌剂。 ❷杀细菌剂(bactericides)是防治细菌性植物病害的杀菌剂。 ❸杀病毒剂(viricides)是防治病毒性植物病害的杀菌剂。后面两类品种很少。 按作用方式和机制可分为保护剂、铲除(eradicant)剂、内吸性(systemic)杀菌剂和麦角甾醇生物合成抑制剂4类。 保护剂 在植物感病前施用,抑制病原孢子萌发,或杀死萌发的病原孢子,以保护植物免受病原菌侵染危害的杀菌剂(见保护作用)。木材防腐剂也属这一类。比较古老的无机杀菌剂和某些有机杀菌剂都是保护剂、主要品种有硫酸铜,波尔多液,可湿性硫灭菌丹、克菌丹、代森锌等。用其防治病害的途径有两个。一是处理寄主生长环境和侵染源,消灭或减少病原菌的孢子或其他繁殖体对寄主的侵染。单纯依靠这种途径,难以达到预期效果。二是直接处理尚未发病而可能被侵染的寄主,例如药剂处理带菌种子或在植物生长期普遍喷药防治气传病害等。这是化学保护最有效的途径。为了达到预期的防治效果,要求粉状种子处理剂粒度细、附着性能好。喷施剂具有良好的润湿性、展着性、粘着性,喷洒力求均匀、覆盖性好。 铲除剂 于植物感病后施用,直接杀死已侵入植物的病原菌的杀菌剂,也称治疗剂(见治疗作用)。铲除剂要求具有较强的渗透性和杀菌性能。如多菌灵、苯菌灵、三唑酮和甲霜灵等对某些病害都表现出治疗作用。 内吸性杀菌剂 通过植物叶、茎、根部吸收进入植物体,在植物体内输导到达作用部位的杀菌剂(见内吸作用)。这类药剂本身或其代谢物可抑制已侵染的病原菌生长发育或保护植物免受病原菌重复侵染,在植物发病后施药可起治疗作用。它可直接施于植物体,也可施药于种子或环境(如土壤)而被植物体吸收。由于在植物体内传导,一般对植株整体都有防病作用。在施药时,对均匀性要求不十分严格,受气候影响也较小,一般在施药后几小时降雨,不影响防治效果。内吸性杀菌剂的缺点是作用点比较单 一,病原菌容易产生抗药性。在实际应用过程中,常常与多作用点的非内吸性杀菌剂混用,以延缓抗药性的生成 麦角甾醇生物合成抑制剂 抑制病原菌麦角甾醇生物合成的一类杀菌剂。这类杀菌剂多为杂环化合物。它们具有广谱性,除了对缺乏麦角甾醇的卵菌病害无效外,对其他许多类型真菌病害均有良好防治效果。属 于这类的有三唑酮、三唑醇、烯唑醇(diniconazole)等20多个品种。 按原料来源及化学结构分为化学合成杀菌剂、农用抗生素、植物杀菌素(phytoncides)3类。 化学合成杀菌剂 包括:❶ 无机杀菌剂。具有杀菌作用的化学元素和无机化合物,如含硫制剂中的各种硫磺制剂、石硫合剂,铜制剂中的硫酸铜、波尔多液;汞剂中的升汞和甘汞等,这类杀菌剂历史悠久,在早期病害防治上曾起过重要作用。但因药效较低,用量较多,且易产生药害,多数品种已被有机杀菌剂取代。 ❷有机杀菌剂。具有杀菌作用的有机化合物。按其化学结构又可分为多种类型: 有机硫、有机汞、有机砷、有机磷、有机锡、酰胺类、氨基甲酸酯类、取代脲和硫脲类、各种取代苯类、杂环类等。其中杂环杀菌剂又可分为嘧啶类、吗啉类、呋喃类、苯并咪唑类、咪唑类、哌嗪类、噻唑类、1,2,4-三唑类等多种类型。近年来杂环杀菌剂发展十分迅速,尤其是1,2 4-三唑类已有20多个品种商品化。有机杀菌剂的发展趋势是向高效、低毒、低残留发展,它在杀菌剂中占有绝对优势。 农用抗生素 微生物中特别是放线菌所产生的抑制或杀死其他有害生物的物质,称为抗生素。用于农业的抗生素称为农用抗生素。农用抗生素不仅能防治真菌病害、细菌病害和病毒病害,有的还有杀虫和除草作用。这类杀菌剂的特点是使用浓度低、用量少、防效高;一般具有良好内吸治疗活性; 选择性比较强;残效期比较短,对人、畜和植物比较安全。 植物杀菌素 高等植物体内含有的对病原菌有杀害作用的化学物质。这类杀菌剂的主要代表是大蒜素,以及人工合成的其同系物乙基大蒜素。 按使用方式分为5类: ❶喷布剂。通过喷雾或喷粉主要施于植物营养体的杀菌剂。喷布剂使用最广泛,主要是防治气传病害。 ❷种子处理剂。用于处理种子的杀菌剂。主要防治种子传带的病害,或者土传病害。有强内吸作用的药剂处理种子也可以对生长期气传病害有防治作用。三唑醇处理小麦种子可防治小麦白粉病和锈病即是一例。用药方式主要是拌种和浸种。 ❸土壤处理剂。施于土壤的杀菌剂。它主要防治土壤传带的病害。主要使用方法有喷施、灌浇、撒施、条施等。 ❹熏蒸和熏烟剂。在一定条件下可以气化或成烟的杀菌剂。它通过熏蒸或熏烟作用以防治病害。通常在比较密闭条件下使用。 ❺保鲜剂。用于防治瓜、果、蔬菜腐烂的杀菌剂。使用方法有浸渍、喷施和药纸包装等。 研究内容 杀菌剂的研究内容很广泛,包括新杀菌剂的创制,杀菌活性测定,结构与生物活性关系,安全性评价,杀菌剂作用机制,杀菌剂的代谢,病原菌的抗药性(见病原真菌抗药性),以及混用与混剂的研究等。其中杀菌活性测定通常分为离体试验和活体试验两步。 离体试验 以脱离寄主的病原菌孢子或菌丝体与药剂直接作用的试验方法。优点是可大量快速筛选化合物,缺点是与田间实际效果差异较大,只是杀菌作用测定的最初环节。测定中,采用的材料和测定条件应力求一致,应选择适宜而有代表性的供试菌,供试对象应力求广泛。 活体试验 使病原菌与药剂在寄主上进行作用的试验方法。寄主可以是整体,也可能是一部分。活体试验结果,接近田间实际应用效果。不仅是离体试验的继续,而且对一些病原菌或试验药剂,只能在活体条件下,才能进行活性测定。例如,对离体条件下不能存活或繁殖的一些专性寄生菌的测定;离体条件下不显示杀菌作用的内吸性杀菌剂。另外,内吸性杀菌剂对植物体的渗透作用,在植物体内的输导和稳定性等的研究,也常常进行活体测定。活体试验又包括温室试验和田间试验: ❶温室试验最常用的是盆栽试验。试验可采用天然带病材料或在自然发病条件下进行,但采用人工接种方法容易控制,试验更易于成功。施药方法可根据具体试验内容和要求,选取不同浓度或剂量定量喷施、土壤处理、种子处理等方法。盆栽试验可测定药剂的保护效果、治疗效果、残效期、在植物体内的代谢等。保护性试验是先施药后接种,治疗试验则是先接种或发病后施药,试验过程可以测定出最长的有效时间,即残效期。 ❷田间试验通常是在完全符合自然条件下进行的。它以温室试验为基础,选取一个或几个合适而有效的浓度(或用量),做 一点或多点田间小区试验,最终肯定其效果,为大面积示范试验和应用提供数据。
杀菌剂fungicide对真菌或细菌有杀死或抑制作用的化学物质。杀菌剂可以在植物体外或植物体内通过药剂的毒力作用杀死或抑制病菌的生长和繁殖。有的杀菌剂对真菌无毒性,但可干扰真菌致病过程或影响病原物——寄主间的相互关系,提高植物防御能力。 毒效基和辅助基 杀菌剂对病菌具有杀死或抑制作用,是与杀菌剂的分子结构有关。每个杀菌剂的分子结构中必须具有毒效基因或有毒元素。如有机汞化合物中的汞元素、克菌丹的三氯甲硫基。杀菌剂对菌类的毒力就是由于这些基团和元素破坏菌体代谢,最终使菌体死亡。杀菌剂结构中还有一定的辅助基,它可以调整化合物的物理化学性状。如苯菌灵结构中的丁胺甲酰基团,具有较强的亲脂性能,增加了药剂向菌体内渗透的能力,从而增强了药剂的抑菌作用。 无毒性杀菌剂 对真菌的活性表现在影响真菌的致病力; 影响寄主一病原菌相互关系,提高植物抗病能力。三环唑对稻瘟菌的作用表现为抑制孢子萌芽过程中侵入栓细胞壁的黑色素合成,结果不能穿透寄主细胞造成侵入。即因为影响了侵入栓细胞壁的紧破性和胞内必要的膨压。二氯二甲环丙羧酸(DDCC)喷洒水稻叶片上后,可以阻止稻瘟病病斑扩大,是由于药剂促进了病斑周围组织内植物保卫素momilictones A和B的积累,使侵入点内的菌丝不得扩展蔓延。 杀菌剂类型 根据杀菌剂对植物病害的防病原理分为保护剂、治疗剂、铲除剂。根据杀菌剂的使用途径分为种子处理剂、土壤处理剂、叶面喷洒剂。根据杀菌剂在植物体内的吸收和运转性能分非内吸性杀菌剂和内吸性杀菌剂。根据杀菌剂有效成分的化学结构分铜素杀菌剂、硫素杀菌剂、有机硫杀菌剂、有机磷杀菌剂、有机胂杀菌剂、取代苯杀菌剂、醌类杀菌剂、杂环类杀菌剂等(见表1)。 杀菌剂的剂型 根据药剂的理化性状和使用的要求杀菌剂可以加工成多种剂型。 粉剂 直接将原药加工成一定细度的粉末制成粉剂,也可以少量的原粉加填充粉混合磨碎成一定细度的粉剂。这类杀菌剂的原药不亲水,加工成粉剂后通过喷粉器械在地面植株间喷粉,或通过飞机在空中喷粉。粉粒的粗细影响喷药和防治质量。粉粒细在植物表面附着力强,有效覆盖面大,也易挥发为气态。如硫磺粉一般要求能通过300号筛目,粉粒直径不大于27微米。 可湿性剂 以原药和湿润剂、分散剂及填充粉混合粉碎而成。粉粒细度要求99.5%通过200目筛,即粉粒在74微米以下。兑水后必需具有悬浮性、分散性、湿润性。杀菌剂剂型中可湿性剂占较大比例。 胶悬剂 以原药、分散剂、悬浮剂、抗冻剂及水溶性表面活性剂混合后,在水中磨研制成。药粒的直径在1~3微米,兑水后其悬浮率在90%以上。如多菌灵胶悬剂。 乳油 原药、有机溶剂、乳化剂按一定比例混合而成。有的为提高溶剂对原药的溶解度,还加少量的助溶剂以达到配制高浓度乳油。乳油兑水后,呈透明或半透明胶体溶液,油粒直径在0.1微米以下,称可溶性乳油。还有一种乳油兑水后呈乳浊液,称乳化性乳油。杀菌剂中亦有少量制成乳油如萎锈灵乳油。 表1 常见杀菌剂 
(续) 
(续) 
(续) 
(续) 
(续) 
(续) 
(续) 
(续) 
(续) 
(续) 
(续) 
(续) 
(续) 
(续) 
(续) 
粒剂 以原药、粘合剂和载体通过特殊的造粒机械和工艺加工而成,根据粒的大小分微粒剂、颗粒剂和大粒剂。防治稻瘟病的异稻瘟净颗粒剂撒施稻田后,既可降低空气中农药污染,又可通过田间灌溉水中药剂的缓解,被稻株吸收运转,达到防治病害的目的。 烟剂 原药、燃料、氧化剂、消燃剂混合制成的粉剂,分装在罐内或袋内,通过引火线点燃后燃烧。其中的原药因受热气化后,在空气中又冷凝为0.1~2微米的烟粒。百菌清、硫黄具有高温下不分解并能升华,因此制成烟剂,用于温室和林间。 杀菌剂的毒性 杀菌剂对人、畜、鸟、蜂、鱼的毒性。分急性毒性、亚急性毒性、慢性毒性三种表现形式。 急性毒性 以小动物如小白鼠或大白鼠作供试动物,以杀菌剂直接口服或皮肤涂抹于供试动物,观其中毒症状和致死中量,即杀死群体中50%个体所需的剂量(毫克/公斤体重)以LD50表示。凡LD50值大者,表示杀死50%个体所需的剂量多,该杀菌剂的毒性低。根据口服LD50量的大小,将农药的毒性划分为特剧毒<1毫克/公斤、剧毒1~50毫克/公斤、高毒50~100毫克/公斤、中等毒100~500毫克/公斤、低毒500~5000毫克/公斤、微毒5000~15 000毫克/公斤。经皮毒性分低经皮毒性、中等经皮毒性、严重皮肤毒性。几种常用杀菌剂的毒性(表2)。表2 几种杀菌剂的毒性 | 杀菌剂 | 口服LD50 (mg/kg) | 经皮LD50 (mg/kg) | 毒性 | 放线菌酮 赛力散 富民隆 | 133 54 88.9 | 低 | 中 高 高 | 敌克松 萎锈灵 羟基薯瘟锡 甲醛 代森铵 稻脚青 五氯酚钠 抗菌剂401 | 64 3820 108 800 450 468 125~210 815 | 100 >8000 5000 中 | 高 中 中 低 中 中 中 低 | 多果定 苯菌灵 克菌丹 二氯萘醌 地茂散 百菌清 代森锰 代森联 福美双 福美锌 代森锰锌 代森锌 | 1000 >10 000 10000 1300 >11 000 >10 000 6750 6200 780 1400 >8000 >5200 | >1500 低 低 严重 >3000 >10 000 >100 >2000 严重 >1000 >8000 >1000 | 低 微 微 中 微 微 微 微 低 低 微 微 |
亚急性毒性 用微量杀菌剂饲喂供试动物,连续三个月以上观察对动物病理、生理及一些生化指标的〔摘自国家技术监督局“农药合理使用准则”(一)、(二)、影响。表3 几种杀菌剂合理使用准则 | 杀菌剂 | 使用 作物 | 最后一次 施药距天数 (安全间隔期) | 最多使用次数 | 三唑酮 triadimefon | 小麦 | 20 | 2 | 三环唑 tricyclazole | 水稻 | 21 | 2 | 土菌消 hymexazol | 水稻 | | 秧田浇灌3次 | 四氯苯酞 rabcide | 水稻 | 21 | 4 | 天瘟素 blasticidins | 水稻 | 7 | 3 | 甲霜灵锰锌 metalaxyl-man- cozeb | 黄瓜 | 1 | 3 | 甲基硫菌灵 thionhanate- methyl | 水稻、 小麦 | 30 | 3~2 | 百菌清 chlorothalomil | 番茄 花生 | 7 14 | 3 | 扑海因 iprodione | 苹果 | 7 | 3 | 纹达克 mepronil | 水稻 | 30 | 2 | 虎胶肥酸铜 DT | 黄瓜 | 3 | 4 | 春雷霉素 kasugamycin | 水稻 | 21 | 3 | 氧环三唑 propiconazole | 小麦 | 28 | 2 | 敌瘟磷 edifenphos | 水稻 | 21 | 4 | 速克灵 procymidone | 油菜 | 25 | 2 | 望佳多 flutolanil | 水稻 | 21 | 2 | 稻瘟灵 isoprothiolane | 水稻 | 早稻14 晚稻28 | 早稻3 晚稻2 |
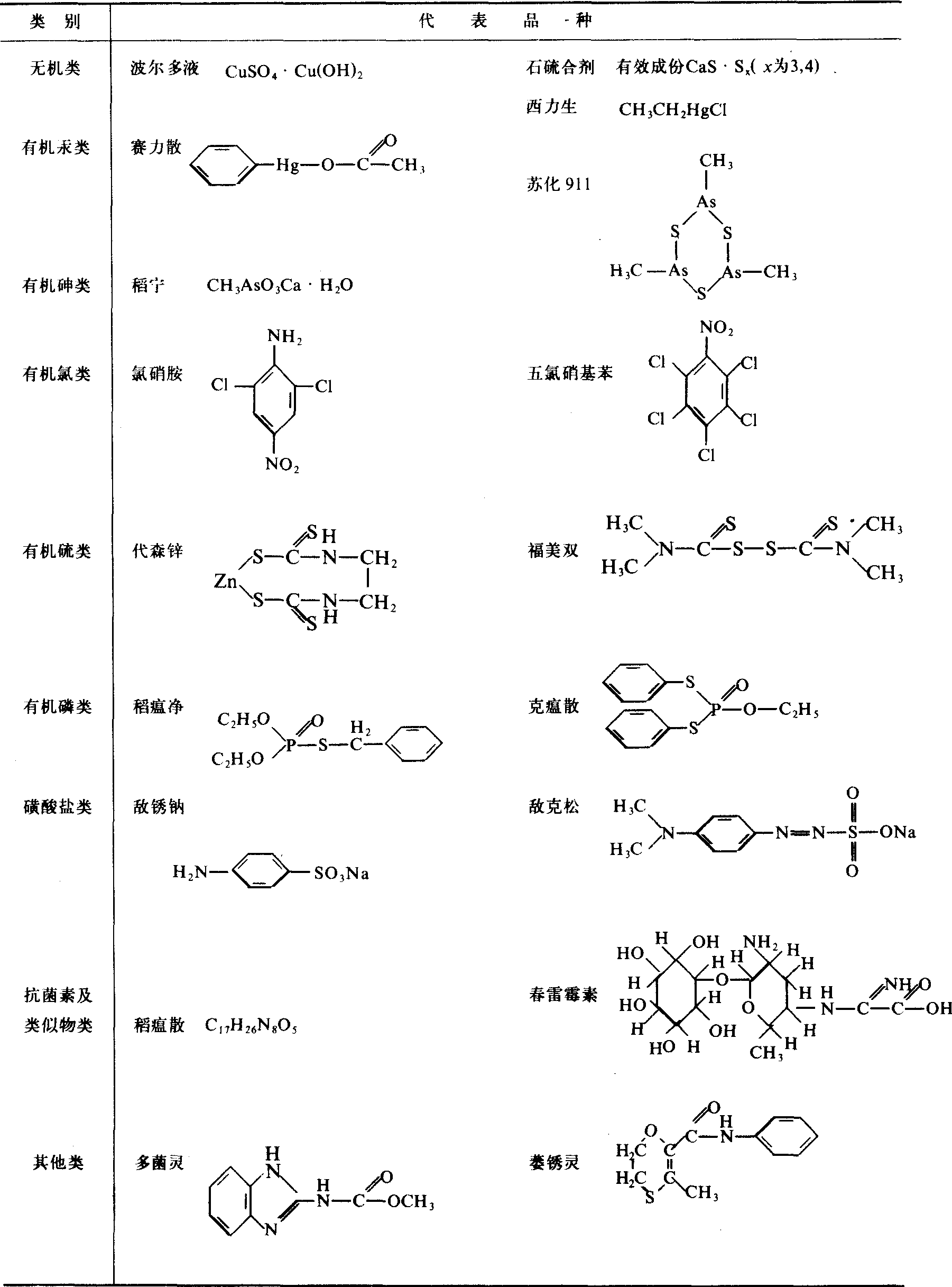
慢性毒性 用微量杀菌剂长期(六个月以上)饲喂供试动物连续观察2至4世代存活的个体,是否发生致癌、致畸、致突变的现象。为了快速测定,也可用Ames氏测定法,即以鼠伤害沙门氏菌(Salmonellatynhimurium)作为指示微生物,三天内即可知该药剂是否具致突变作用。有的杀菌剂在急性毒性方面属于微毒,但其慢性毒性却表现具“三致”作用,如百菌清在5000~10000mg/kg对大鼠肾脏有致癌作用,在微生物试验中亦发现有致突变现象。 由于杀菌剂对动物的毒性,加之使用于农作物上后,由于药剂的分解、代谢的原因,造成空气、水、土壤等环境的污染和农产品上的残留。国家从保持生态平衡,防止环境污染以及人、畜的健康安全出发,对一些高毒和高残留的杀菌剂禁止使用,如有机汞杀菌剂。同时也规定一些杀菌剂的最终残留的限量、安全间隔期(表3)。如百菌清在水稻最终残留量不能超过0.2ppm,安全间隔期为10天。苹果、梨、葡萄不能超过1mg/kg,安全间隔期分别为21天、25天、21天。杀菌剂fungicide能够杀死或抑制真菌生长和繁殖的化合物。根据对病害的防治作用分为保护性杀菌剂、铲除性杀菌剂、内吸性杀菌剂;也可以根据杀菌剂的主要化学成分分为无机杀菌剂、有机硫杀菌剂、有机磷杀菌剂、有机氯杀菌剂、有机汞杀菌剂、杂环类杀菌剂等。此外,还有一类对植物病害具防治作用的化合物,它们不直接对侵染的病菌具杀死或抑制作用而只是提高植物的抗病性能,从而有助于抑制病害症状或具有延缓病害的发展,如改变植物的组织结构,提高有关酶的活性,中和病菌产生的毒素或刺激植物产生植物抗毒素等。对于这类化合物也广义地称为杀菌剂。工业上也用杀菌剂以保护纺织品、木材、造纸、皮革、涂料、塑料及光学玻璃以防霉菌生长。 杀菌剂用于防治植物病原细菌的农药。如波尔多液、多菌灵等。按作用方式分为3类:铲除剂、内吸剂、保护剂。按化学构成分为无机杀菌剂,有机杀菌剂、抗生素杀菌剂3类。使用方法为种子处理、喷洒、土壤处理3种。 杀菌剂 杀菌剂shajunji对各种病源微生物主要是真菌、细菌和病毒有杀灭或抑制生长作用的一类药剂的总称。按其作用方式可分为三类: ❶保护剂 在病菌侵染前,施于作物表面,对作物起到保护作用的杀菌剂; ❷铲除剂 在施药部位直接杀灭浸染病菌的药剂; ❸治疗剂 施用后,药剂能被作物吸收并在体内传导到病菌浸染部位,进而消灭病菌的药剂。由于治疗剂和许多铲除剂都属于内吸杀菌药剂,因此,实用上常将杀菌剂分为保护剂和内吸剂两类。最早的杀菌剂是无机化合物,如波尔多液等。20世纪初开始用有机汞化合物杀菌,40~50年代,有机硫杀菌剂迅速发展,有机氯、有机砷杀菌剂也得到开发。1965年,日本首先使用稻瘟净杀菌,标志着内吸性杀菌剂的问世。此后十几年,杀菌剂发展的特点是以内吸剂为核心的杀菌剂迅速开发利用; 淘汰了毒性大、对环境污染较重的有机汞、有机砷和某些有机氯类杀菌剂; 农用抗生素有较快发展。到80年代,杀菌剂已超过200种,分类也不同。按其所含主要成分大致可分为九大类,各类及其代表品种见下表。
杀 菌 剂 主 要 品 种 
农业上使用杀菌剂的主要方式有喷雾、喷粉、拌种、浸种以及对场地、器具进行消毒,还有将药剂注入植物体内使用的。皮革、涂料、纺织等工业部门,也都要用到杀菌剂。 ☚ 杀虫剂 杀鼠剂 ☛ 杀菌剂在一定的量或一定浓度下对植物病原菌起杀灭或抑制作用的化学物质。 杀菌剂fungicide
杀菌剂disinfectant;germicide
杀菌剂germicide |