| 释义 |
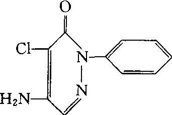
杀草敏chloridazon又称甜菜灵。有机杂环类选择性除草剂。化学名称:5-氨基-4-氯-2-苯基哒嗪-3-酮。化学结构式如下。纯品为淡黄色无臭固体,熔点205~206℃,40℃时蒸气压986.6×10-2 Pa,易挥发。微溶于水和甲苯,稍溶于丙酮、甲醇,性质稳定。在土壤中可被杂草胚芽鞘吸收,抑制细胞分裂使杂草死亡。苗后施药能被茎叶吸收,抑制光合作用,杂草因饥饿而死亡。适于甜菜、萝卜和洋葱等作物防除藜、苋、蓼、荠、繁缕等一年生阔叶杂草。甜菜播前、播后苗前、1~3叶期或移栽后3~4天使用。对人、畜低毒,大鼠急性口服LD50为3 030 mg/kg,对皮肤有轻微刺激作用。 
|