网站首页  词典首页


请输入您要查询的字词:

 

字词 朱世杰
类别 中英文字词句释义及详细解析
释义

朱世杰

元代数学家。字汉卿,号松庭。寓居燕山。他发展李冶“天元术”,于大德七年(1303年)提出“四元术”,即今代数学中之四元高次方程组。其“四元消法”,即四元高次方程组消去法,较法国数学家毕朱(一译别卓)的早出近五个世纪。还精于“垛积”(即高阶等差级数的求和)和“招差法”(即逐差法),也较欧洲数学家的早出近四个世纪。著有《算学启蒙》(1299年)三卷,《四元玉鉴》(1303年)三卷。

朱世杰

朱世杰(1851—1926)家传 秦锡田 享帚录卷二

朱世杰

太平天国癸好三年(清咸丰三年癸丑,1853)东试状元。是科为贺东王杨秀清寿辰而开。论题为“真道岂与世道相同?”文题为“皇上帝乃万郭大父母,人人是其所生,人人是其所养。”诗题:“四海之内有东王。”甲第黄榜悬于东王府,鼎甲簪花游行。中式状元后不知所终。

朱世杰

清初奉天 (今辽宁省境)人。康熙年间任湖南衡永道(治所在今衡阳)。捕治吴三桂余党,并修建石鼓书院,修复烟雨池古迹,深得士民称颂。

朱世杰

中国元代数学家。生卒不详。以数学教学和数学研究为业,周游四方20余年,这一活动约在13世纪末和14世纪初。其主要著作有:《算学启蒙》(1299)3卷,分为20门,收259个数学问题,内容包括从整数四则运算到开高次方和天元术等;《四元玉鉴》(1303)3卷24门288问,内容主要为求解方程或方程组,高阶等差级数求和及高次内插法。四元术是从宋代天元术和增开方法发展而来的,是列多元高次方程和方程组(用算筹进行)的方法。这是中国古代筹算代数学的最高成就,也是当时世界的最高水平。

朱世杰

153 朱世杰

元代数学家、数学教育家。与秦九韶、李冶、杨辉一起被誉为宋元时期数学四大名家。字汉卿,号松庭。曾寓居燕山(今北京附近)。生平不详。精通《九章算术》,“旁通诸术”。至1303年,已“以数学名家周游湖海20余年矣,四方之来学者日众”(《畴人传》),“复游广陵(今江苏扬州市),踵门而学者云集。”一生从事数学教育与研究,刻苦钻研,孜孜不倦。集宋、金、元数学之大成,进行了总结性的工作。在天元术的基础上建立了四元术(多元高次方程组解法)理论;发展了沈括隙积术、杨辉的垛积术和郭守敬的平立定三差法,给出了一系列高阶等差级数的求和公式。如:
三角垛公式:


岚峰形垛公式


成功地将高阶等差级数方面的研究成果运用于内插法,得到了一般的插值公式:
2) △3+…,
并明确指出: 公式中各项系数恰好分别是三角垛求和公式中p依次取1,2,3,…的情形。这公式与牛顿(I.Newton,1642—1727)插值公式在形式上完全一致。早于格雷果里(J. Gregory,1638—1675)和牛顿近400年。朱世杰的垛积招差术全面推进了宋元数学在这方面的研究工作,为宋元数学的发展做出了突出的贡献。其成就在一定意义上标志了中国古代筹算数学发展的顶峰。这些成就均收于所著 《算学启蒙》 (1299) 与 《四元玉鉴》(1303)中。朱世杰的杰出贡献早为世界所公认。已故著名美国科学家史家萨顿(G. Sarton)在其名著《科学史引论》中指出:朱世杰“是他本民族的,他所生活的时代的,也是横贯古今的一位最杰出的数学家。”
☚ 杨辉   吴敬 ☛
朱世杰

朱世杰Zhu Shijie

元朝数学家. 他的 《算学启蒙》 (1299) 是一部较全面的初等数学教科书,他的《四元玉鉴》 (1303) 系统阐述了四元术、垛积术与招差术.


四元术可讨论多至四个未知数的高次方程组的建立及其表示法与消元法. 表示法为: 把平面分为四个 方 向 (常 数 项(太)居中,四个未知数天(x)、地 (y)、人(z)、物(w)按四个方向升幂排列,斜向表示交叉项. 例如图中所表示的算式为x2+y2+z2+w2+2xy +2xz+ 2yw+ 2zw+ 2xyz+ 2yzw,=0
在西方,多元高次方程组的消元法直到1779年才由法国数学家贝佐特完成.
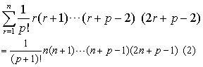
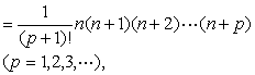
垛积术即高阶等差级数求和,创始于沈括. 而朱世杰给出了当p=1,2,3,4,5时的下列公式


对于p=2,3,他给出

以及由 (1),(2) 变化得出的其他关系. 我们完全可以认为朱世杰已得到了 (1),(2) 的一般形式.
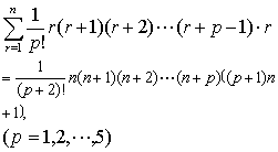
招差术即内插法,与垛积术密切相关.隋刘焯,唐张遂、元王恂先后研究过二、三次内插法,朱世杰进而研究四次内插法.给定函数f (z),设插值基点为0,1,2,…,n,定义

i=1,2,…,n,k=1,2,3,4,设△4f (i) =c为常数 (i=1,2,…,n),简记△kf (0) =△k,则朱世杰相当于列出了公式

f (n) =n△1+1/2! n (n-1) △2+1/3!n (n-1) (n-2) △3+1/4!n (n-1)(n-2)(n-3) △4

由他对二、三次内插的研究看,他已能够推导出一般的牛顿前向插值公式.
☚ 李冶   徐光启 ☛
朱世杰

朱世杰13世纪后半叶至14世纪初Zhushijie

中国数学家。元代燕山(今北京附近)人。他是中国古代少有的民间职业数学家与数学教育家,曾“以数学名家周游湖海二十余年”,在扬州讲学时,“踵门而学者云集”。他的《算学启蒙》(1299)是当时较为完备的数学教科书,从基本的记数方法、整数及分数运算、面积与体积计算,到当时先进的天元术,均包含于其中。书中的 “九归除法”与珠算中的九归口诀已经一致。他的《四元玉鉴》(1303)系统地论述了四元术、垛积术与招差术, 代表了中国传统代数学的最高成就。
四元术是宋元时期天元术的重要发展, 是可以处理多至4个未知数的多元高次方程组的一般方法, 包括多元高次方程组的建立,表示和消元方法。消元法是四元术的精华与核心。在西方,多元高次方程组的消元理论直到1779年才由法国数学家贝祖(Bezout, E’.)正式发表。
垛积术即高阶等差级数术和, 创始于沈括的隙积术。朱世杰深入研究了三角垛与四角垛两个基本的垛积系统, 其结果可概括为两个基本公式。


书中还研究了由三角垛与四角垛衍生出来的其他垛积系统。这些研究揭示了贾宪三角形(二项式系数表)的许多内在性质,朱世杰的工作,使垛积术成为中国古代数学中最精彩的内容之一。
招差术即内插法。隋刘焯、唐一行、元王恂先后研究过二、三次内插法,朱世杰全面总结了以往的工作,把垛积与招差视为 一对互逆的运算, 利用三角垛的结果建立了四次内插公式。从他的全部工作可以看出,他已经掌握了任意高次的内插公式, 即牛顿前向插值公式。
《四元玉鉴》是中国传统代数学的登峰造极之作。美国著名科学史家萨顿(Sarton,G.)对朱世杰的四元术评价说:“他解决此类问题的方法或许是中国数学最伟大的成就”,同时认为,《四元玉鉴》“是中国数学著作中最重要的一部, 同时也是中世纪最杰出的数学著作之一。”
☚ 杨辉   程大位 ☛
朱世杰

朱世杰

朱世杰 (?—?),中国数学家。字汉卿,元代燕山人,居大都 (今北京)。13世纪,在数学方面先后出现了秦九韶(1202—1261,南宋数学家,四川人)、杨辉 (南宋数学家、钱塘人)、李治(1192—1279,金元之际数学家,真定栾城人,进士出身,曾任钧州知事)、朱世杰四大名家,而以朱世杰成就最高。秦九韶的重要成就是提出高次方程的数值解法—— “正负开方术” 和联立一次同余式的解法—— “大衍求一术”,后者被称为“中国剩余定理”,前者被称为 “秦九韶程序”。1247年著有 《数书九章》 18卷。杨辉的重要成就是介绍了筹算乘、除的各种简捷算法,并编有“九归”口诀等,著有《详解九章算法》(1261)、《日用算法》(1262)、《乘除通变算宝》(1274)、《田亩比类乘除捷法》(1275)和《读古摘奇算法》(1275)。李治的重要成就是用“天元术”(古代建立数学高次方程的方法)解决了直角三角形的容圆问题,著有《测圆海镜》(1248)和《益古演段》(1259)。朱世杰在秦、杨、李三人数学成就的基础上,运用各种实用算法,创造性地加以发展,著有 《算学启蒙》、《四元玉鉴》 等书。《算学启蒙》 刊印于1299年,全书分3卷,20门,共259个问题及其解答,全面介绍了当时数学所包含的各个方面。它的体系完整,内容深入浅出,通俗易懂,是一部很重要的数学启蒙读物,曾流传到朝鲜、日本等国。《四元玉鉴》 成书于1303年,全书分3卷,24门,共288个问题,介绍了朱世杰在多元高次方程组的解法—— “四元术”、高阶等差级数的计算—— “垛积术” 以及 “招差术” (有限差分) 等方面的研究成果。具有较高的科学水平,是中世纪最杰出的数学著作之一,受到近代数学史研究者的高度评价。秦、杨、李、朱的数学著作,内容广泛而艰深,象正负开方术、天元术、四元术、大衍求一术、垛积术和招差术等,都是具有世界意义的学术成就,分别比欧洲要早出现400年到800年,在当时处于遥遥领先地位。

☚ 郭守敬   郑和 ☛
朱世杰

朱世杰

朱世杰 (?—?),中国数学家,字汉卿,元代燕山人,居大都 (今北京)。13世纪,在数学方面先后出现了秦九韶 (约1202—约1261,南宋数学家,四川人)、杨辉 (南宋数学家、钱塘人)、李治 (1192—1279,金元之际数学家,真定栾城人,进士出身,曾任钧州知事)、朱世杰四大名家,而以朱世杰成就最高。秦九韶的重要成就是提出高次方程的数值解法——“正负开方术”和联立一次同余式的解法——“大衍求一术”,后者被称为“中国剩余定理”,前者被称为 “秦九韶程序”。1247年著有 《数书九章》 18卷。杨辉的重要成就是介绍了筹算乘、除的各种简捷算法,并编有 “九归” 口诀等,著有 《详解九章算法》(1261)、《日用算法》(1262)。《乘除通变算宝》(1274)、《田亩比类乘除捷法》(1275)和 《续古摘奇算法》 (1275)。
李治的重要成就是用 “天元术”(古代建立数学高次方程的方法)解决了直角三角形的容圆问题,著有 《测圆海镜》 (1248)和 《益古演段》 (1259)。朱世杰在秦、杨、李三人数学成就的基础上,运用各种实用算法,创造性地加以发展,著有 《算学启蒙》、《四元玉鉴》等书。《算学启蒙》刊印于1299年,全书分3卷,20门,共259个问题及其解答,全面介绍了当时数学所包含的各个方面。它的体系完整,内容深入浅出,通俗易懂,是一部很重要的数学启蒙读物,曾流传到朝鲜、日本等国。《四元玉鉴》成书于1303年,全书分3卷,24门,共288个问题,介绍了朱世杰在多元高次方程组的解法——“四元术”、高阶等差级数的计算——“垛积术”以及 “招差术” (有限差分)等方面的研究成果。具有较高的科学水平,是中世纪最杰出的数学著作之一,受到近代数学史研究者的高度评价。秦、杨、李、朱的数学著作,内容广泛而艰深,像正负开方术、天元术、四元术、大衍求一术、垛积术和招差术等,都是具有世界意义的学术成就,分别比欧洲要早出现400年到800年,在当时处于遥遥领先地位。

☚ 郭守敬   郑和 ☛
朱世杰

朱世杰

元代数学家。字汉卿,号松庭。大都(今北京)人。是一位数学教习,曾浪迹湖海二十余年。他的数学活动主要在元朝初期,留世的著作有《算学启蒙》(三卷, 1299年)和《四元玉鉴》(三卷, 1303年)。前者是一本算学入门书,流传甚广,曾传到高丽和日本。后者为论解多元高次方程组的专著。其解法在天元术的基础上发展为四元术,并对垛积术作出了进一步的发展。

☚ 杨琼   阿合马 ☛

朱世杰

元数学家。字汉卿,号松庭。著有《算学启蒙》 (1299)三卷、《四元玉鉴》 (1303)三卷。对于多元高次方程组的解法、高阶等差级数和招差术(有限差法)都有独到的研究。

朱世杰

元朝数学家。字汉卿,号松庭。著有《算学启蒙》、《四元玉鉴》。对多元高次方程组的解法,高阶等差级数和招差术(有限差分)的研究有独到之处。 《四元玉鉴》总结了宋元数学四元高次联立方程组及消元的解法,它刊出的高次差的内插公式,是当时世界上数学方面的最高成就。

随便看

 

离鸟网收录3541549条中英文词条,其功能与新华字典、现代汉语词典、牛津高阶英汉词典等各类中英文词典类似,基本涵盖了全部常用中英文字词句的读音、释义及用法,是语言学习和写作的有利工具。

 

Copyright © 2004-2024 vtrois.com All Rights Reserved
更新时间:2026/4/20 2:21:46