网站首页  词典首页


请输入您要查询的字词:

 

字词 主要标准联轴器的比较及常用联轴器
类别 中英文字词句释义及详细解析
释义 主要标准联轴器的比较及常用联轴器

主要标准联轴器的性能、适用范围及应用场合比较见表4.7-5,常用刚性联轴器见表4.7-6,常用挠性联轴器分别见表4.7-7~4.7-15。

表4.7-4 载荷系数K

注:上述各标准资料详见〔43〕。

表4.7-6 凸缘联轴器(摘自GB5843—86)

注:
❶  联轴器质量和转动惯量是按材料为铸铁(括弧内铸钢),最小轴孔、最大轴伸长度的近似计算值。

❷  联轴器许用转速是按材料为铸铁,许用线速度为30m/s,钢许用线速度为50m/s的近似计算值。

❸  螺栓数量栏中,括号内为铰制孔用螺栓数量。

❹  使用时,如不能保证被联接两轴的对中精度,将会降低传动精度、效率和寿命,并引起振动和噪声。

❺  GB3852—83规定联轴器轴孔型式有:长圆柱形轴孔(Y型)、有沉孔的短圆柱形轴孔(J型)、无沉孔的短圆柱形轴孔(J1型)、有沉孔的圆锥形轴孔(Z型)、无沉孔的圆锥形轴孔(Z1型)。长圆柱形轴孔常用于电机轴。有沉孔者是便于采用挡圈、圆螺母或弹性挡圈等使联轴器轴向固定于轴上,而联轴器与轴配合较松以便装拆,无沉孔的圆柱形轴孔则用轴肩和过盈配合作轴向固定。

❻  联轴器的键槽GB3852—83中规定的表示方法为:平键单键槽——A型,120°布置平键双键槽——B型,180°布置平键双键槽——B1型,圆锥形轴孔平键单键槽——C型,圆锥形轴孔普通切向键键槽——D型。在联轴器的标记中,A型键槽的A可以省略。

❼  联轴器轴孔与轴的配合,对于圆柱形轴孔与轴一般为H7/j6(孔径d=6~30mm),H7/k6(d>30mm到50mm),H7/m6(d>50mm)。根据使用要求,也可选H7/r6或H7/n6。

❽  联轴器的标记方法见GB12458—90。

表4.7-7 滚子链联轴器(摘自GB6069—85)

注:
❶  有罩壳时,在型号后加“F”,例GL5型联轴器,有罩壳时改为GL5F。

❷  表中联轴器质量、转动惯量是近似值。

❸  可用于纺织、农机、起重运输机、工程、矿山、轻工、化工等机械、泵、风机、机床行业等。不能用于传递轴向力。必须保证在良好的润滑和有防护罩的条件下工作。

❹  标记方法见表4.7-6的注。

表4.7-8 CICL型鼓形齿式联轴器(摘自ZBJ19013—89)

注:
❶  联轴器质量和转动惯量是按各型号中轴孔最小直径和最大长度计算的近似值。

❷  D2≥465mm,其O形圈采用圆形断面橡皮条粘结而成。

❸  根据需要,J1型轴孔也可以不使用轴端挡圈。

❹  更大的型号GICL18~GICL30,如需采用,可查原标准ZBJ19013-89。

❺  需在润滑和密封条件下才能持久可靠地工作。

❻  已订为机械行业标准的其他齿式联轴器:基本窄型、接中间轴型、电机轴伸型、带制动轮型等见表4.7-5中所列标准或〔43〕。

❼  标记方法见表4.7-6的注。

表4.7-9 WS型和WSD型小型十字轴式方向联轴器(摘自JB/T5901—91)

注:
❶  表中联轴器质量、转动惯量是近似值。

❷  当轴线夹角为β≠0时,联轴器的许用转矩

❸  接中间轴型可根据需要确定L1值。

表4.7-10 TL型弹性套柱销联轴器(摘自GB 4323—84)

注:
❶  表中联轴器质量、转动惯量是近似值。

❷  短时过载不得超过公称转矩Tn值的2倍。

❸  轴孔型式及长度L,L1可根据需要选取。

❹  标记方法见表4.7-6的注。

表4.7-11 TLL型弹性套柱销联轴器(摘自GB 4323—84)

注:
❶  表中联轴器质量、转动惯量是近似值。

❷  短时过载不得超过公称转矩Tn值的2倍。

❸  标记方法见表4.7-6的注。

❹  轴孔型式及长度可根据需要选取。

表4.7-12 弹性柱销联轴器(摘自GB 5014—85)

注:
❶  联轴器质量与转动惯量,是按钢制半联轴器最小轴孔直径及最大轴孔长度计算。

❷  表中“钢”是指钢制半联轴器,“铁”是指铸铁制半联轴器。

❸  轴孔长度L与L1,可根据不同要求,从表列规格中选用。

❹  J1为不带沉孔的短圆柱形轴孔。

❺  带有*尺寸,原标准中没有,为参考尺寸。

表4.7-13 梅花形弹性联轴器(摘自GB5272—85)

注:1.带“*”者轴孔直径可用于Z型轴孔。

2.表中a、b、c为弹性件硬度代号。

3.表中质量为联轴器最大质量。

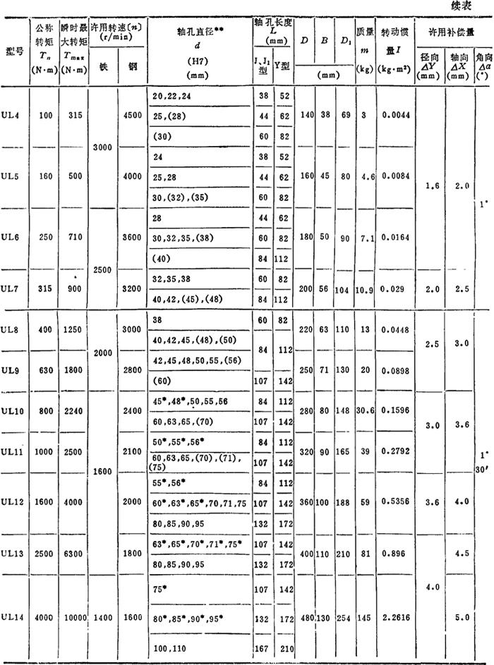
表4.7-14 轮胎式联轴器(摘自GB5844—86)

注:1.“*”值,为结构允许制成J型轴孔。

2.“* *”栏内带( )值仅适用于钢制联轴器。

3.本标准中最小型号为UL1,最大型号为UL18,详见GB5844—86。

表4.7-15 JM型膜片联轴器(摘自ZB/TJ19022—90)

注:
❶  轴孔和键槽型式及尺寸应符合GB3852的规定,轴孔型式及长度L,L1根据需要选取。

❷  各规格的轮毂直径不小于规格中最大孔径的1.6倍。

❸  这种联轴器广泛用于水泵、风机、空压机、液压机械、石油机械、印刷机械、纺织机械、冶金机械、化工机械、矿山机械、汽轮机、履带式车辆、发电机组等的传动系统中。

❹  更大的型号JM17~JM19,如需采用,可查原标准ZB/TJ19022—90。

表4.7-16 JMJ型接中间轴膜片联轴器(摘自ZB/TJ19022—90)

注:
❶  轴孔和键槽型式及尺寸应符合GB3852的规定,轴孔型式及长度L,L1可根据需要选取。

❷  表中L2按要求也可与制造厂家另行商定。

❸  各规格的轮毂直径不小于规格中最大轴孔直径的1。6倍。

表4.7-17 JM1J型整体式膜片接中间轴膜片联轴器(摘自ZB/TJ19022—90)

注:
❶  轴孔和键槽型式及尺寸应符合GB3852的规定,轴孔型式及长度L,L1可根据需要选取。

❷  表中L2按要求也可与制造厂家另行商定。

❺  各规格的轮毂直径不小于规格中最大轴孔的1.6倍。

❹  更大的型号JMIJ20~23,如需采用,可查原标准。

随便看

 

离鸟网收录3541549条中英文词条,其功能与新华字典、现代汉语词典、牛津高阶英汉词典等各类中英文词典类似,基本涵盖了全部常用中英文字词句的读音、释义及用法,是语言学习和写作的有利工具。

 

Copyright © 2004-2024 vtrois.com All Rights Reserved
更新时间:2026/4/19 5:12:10