网站首页  词典首页


请输入您要查询的字词:

 

字词 有效成分
类别 中英文字词句释义及详细解析
释义

有效成分active ingredient

农药产品中具有生物活性的特定化学结构成分。有效成分含量是农药产品标准中最重要的质量指标,以质量百分数(m/m)、克/千克或克/升表示,其含量测定方法亦是农药标准中的 一部分。
生物活性系指对昆虫、螨、病菌、鼠、杂草等有害生物的行为、生长、发育和生理生化机制的干扰、破坏、杀伤作用,还包括对动、植物生长发育的调节作用。
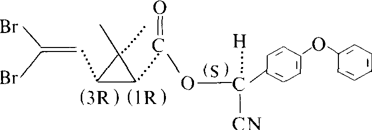
有生物活性的物质都是具有特定化学结构的化合物,某一特定化学结构分子中不同异构体的生物活性是不相同的。如滴滴涕分子中,有对、对滴滴涕和邻、对滴滴涕两个结构异构体,前者含量约70%,是杀虫有效成分; 久效磷由于分子中双键上各基团的空间排列不同,而有顺式和反式两个几何异构体,其有效成分是含量约70~ 73%的顺式异构体; 氰戊菊酯分子中酸部分和醇部分各有 一个手性碳原子,是四种光学异构消旋体的混合物,其生物活性成分主要是S(+)酸-S(一)醇的酯部分——来福灵;溴氰菊酯的结构式:

有3个手性碳原子,共有8个光学异构体(见表),溴氰

溴氰菊酯及其异构体的生物活性

构象C1构象C3构象苄基C(α)杀 虫 活 性
R
R
R
S
R
R
0
0
R
R
R
S
S
S
+++++ 溴氰菊酯
++++
S
S
S
S
R
S
R
S
R
R
S
S
0
0
0
0

注: 0为无杀虫活性,+为有杀虫活性菊酯是1R,3R,x(S)的单一异构体,具有最大杀虫活性。
随便看

 

离鸟网收录3541549条中英文词条,其功能与新华字典、现代汉语词典、牛津高阶英汉词典等各类中英文词典类似,基本涵盖了全部常用中英文字词句的读音、释义及用法,是语言学习和写作的有利工具。

 

Copyright © 2004-2024 vtrois.com All Rights Reserved
更新时间:2026/4/19 0:03:12