网站首页  词典首页


请输入您要查询的字词:

 

字词 有向图
类别 中英文字词句释义及详细解析
释义
有向图

有向图youxiangtu

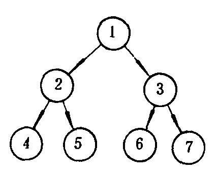
图1

图2

(吴文虎)


比树更为一般化的数据结构.图中的数据元素通常称为顶点.数据元素间的关系,就是顶点间的邻接关系.有向图的顶点间的邻接关系称为弧,用带箭头的线表示.下图1表示一个有向图.假如图中的五个顶点分别表示城市1,城市2,…,城市5.顶点间的连线表示航线,箭头指出方向.从顶点1至顶点2,起点处称为弧尾,终点处称为弧头对城市1,有一条航线可达城市2,有一条航线可达城市5;对应图中有弧尾的数目为2,称顶点1的出度为2.只有城市3有一航线可达城市1,图中指向顶点1的弧头的数目为1,称顶点1的入度为1.

图1

图1


只有一个顶点的入度为0,而其余顶点的入度均为1的有向图,是一棵有向树,如图2,只有顶点1的入度为0.从这一点也可以说树是图的特例,图是比树更为一般化的数据结构.
图的应用极为广泛,诸如电子线路分析、系统工程、控制论、遗传学、逻辑学、语言学、计算机科学,以至社会科学中的许多学科,都把图结构作为解决问题的手段之一.
☚ 树   文件 ☛

有向图

由若干点以及连接某些点所对的(有方向)弧构成的图。

随便看

 

离鸟网收录3541549条中英文词条,其功能与新华字典、现代汉语词典、牛津高阶英汉词典等各类中英文词典类似,基本涵盖了全部常用中英文字词句的读音、释义及用法,是语言学习和写作的有利工具。

 

Copyright © 2004-2024 vtrois.com All Rights Reserved
更新时间:2026/4/20 6:57:57