网站首页  词典首页


请输入您要查询的字词:

 

字词 最小平方法
类别 中英文字词句释义及详细解析
释义

最小平方法

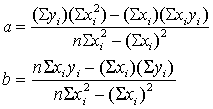
又称“最小二乘法”。税务预测常用的一种数学预测方法。这种方法的数学根据是实际数值和趋势值的离差和等于零,且实际数值和趋势值的离差平方和为最小值, 即Σ(Y-t)=0, 且Σ(Y-t)2为最小值。具体做法是,运用时间数列资料,列成联立方程式,求解出参数,配合长期趋势直线模型,建立预测模型,据以预测。其公式为:

t=a+bX


式中t为趋势值;X为时间顺序数;a、 b为待定参数,可通过解下列方程组求得:


最小平方法适用于税务定量预测。

最小平方法

[参]最小二乘法

最小平方法Least-square Method

见“最小二乘法”。

最小平方法

见 “最小二乘法”。

最小平方法

最小平方法least square

见“最小二乘法”。

☚ 最小二乘法   参数估计 ☛
最小平方法

最小平方法method of least squares

确定空间平面上n个有线性趋势的点(x1,y1),(x2,y2),…,(xn,yn),求一估计直线,使按估计直线计算得的yi的估计值与实际观察值之差的平方和为最小的方法。设此直线为y=a+bx,欲使最小,必须有解得

所求的最小平方法的估计直线,若以行列式表示,则为

用最小平方法配合的估计直线的特点是:估计值与实际观察值相差的代数和为零;它们差数的平方和为最小。
最小平方法常用于建立样本回归方程及确定现象发展的长期趋势线等。
☚ 回归分析   推断统计学 ☛
00002500
随便看

 

离鸟网收录3541549条中英文词条,其功能与新华字典、现代汉语词典、牛津高阶英汉词典等各类中英文词典类似,基本涵盖了全部常用中英文字词句的读音、释义及用法,是语言学习和写作的有利工具。

 

Copyright © 2004-2024 vtrois.com All Rights Reserved
更新时间:2026/4/20 12:22:22