网站首页  词典首页


请输入您要查询的字词:

 

字词 最大社会福利产量
类别 中英文字词句释义及详细解析
释义
最大社会福利产量

最大社会福利产量Maximum Social Welfare Output

在一定偏好、技术和资源条件下使社会福利极大化的社会产量。考察一个两位消费者、两种产品、一种基本生产要素的经济。已知:
(1) 两位消费者的效用函数分别为:


U1=U1(x11,x12,x10-x1) (1)
U2=U2(x21,x22,x20-x2) (2)

式中,xij表示第i位消费者对j种产品的消费量,xi0和xi分别表示第i位消费者对基本要素的初始拥有量和供给量。
(2) 社会生产函数为:


F(x11+x21,x12+x22,x1+x2)=0 (3)


(3)社会福利函数为:

W=W(U1,U2) (4)

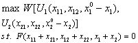
将效用函数(1)和 (2)代入 (4),使社会福利函数从效用空间转换到商品空间,在社会生产函数(3)约束下使其极大化,即:


由极大化一阶条件可求出最大福利产量x11*+x21*,x12*+x22*和要素供给量x1*+x2*,由它们可求出最大社会福利W*。可以证明这样决定的资源配置是帕累托最优的。
〖参〗最大社会福利
 社会福利函数
☚ 最大社会福利   恩格尔定律 ☛
00001069
随便看

 

离鸟网收录3541549条中英文词条,其功能与新华字典、现代汉语词典、牛津高阶英汉词典等各类中英文词典类似,基本涵盖了全部常用中英文字词句的读音、释义及用法,是语言学习和写作的有利工具。

 

Copyright © 2004-2024 vtrois.com All Rights Reserved
更新时间:2026/4/18 19:26:53