网站首页  词典首页


请输入您要查询的字词:

 

字词 最大似然法
类别 中英文字词句释义及详细解析
释义
最大似然法

最大似然法method of maximum likelihood

设随机变量ξ具有密度函数f (x;θ12,…,θ1),此处x为ξ的观测值,θ12,…,θ1为参数。若(x1,x2,…,xn)是样本(ξ12,…,ξn)的一个观测值,那么(ξ12,…,ξn)落在点(x1,x2,…,xn)的邻域里的概率为

最大似然法的基本思想是:样本(ξ12,…,ξn)一次落在点(x1,x2,…,xn)的邻域里的概率,一定是所有中最大的。
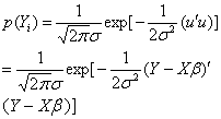
对回归模型Y=Xβ+u应用最大似然法时,似然函数为

此处p(Yi)表示Yi的概率密度,若Yi服从正态分布,则:

为求极值方便,对似然函数求对数

解方程组

得到最大似然估计量β=(X′X)-1X′Y,2=e′e/n(其中e=Y-X)。
可以看出,β的最大似然估计量与最小二乘估计量完全相同,σ2的最大似然估计量略有不同,它在小样本时是有偏估计量,大样本时是一致估计量。
☚ 经典正态线性回归模型   置信区间 ☛
00000754
随便看

 

离鸟网收录3541549条中英文词条,其功能与新华字典、现代汉语词典、牛津高阶英汉词典等各类中英文词典类似,基本涵盖了全部常用中英文字词句的读音、释义及用法,是语言学习和写作的有利工具。

 

Copyright © 2004-2024 vtrois.com All Rights Reserved
更新时间:2026/4/19 14:59:03