网站首页  词典首页


请输入您要查询的字词:

 

字词 最可能数
类别 中英文字词句释义及详细解析
释义
最可能数

最可能数

最可能数(MPN),是液体中细菌密度的估计值,它不经直接计数,而通过稀释法推算。MPN常用于监督执行国家卫生标准,如卫生管理中用每100ml饮用水或牛奶中大肠菌的最可能数来评定水质好坏及牛奶污染程度。MPN的计算方法有试算法与近似法,后者较为简便。
用稀释法估计细菌密度的基本原理是:若100ml水中含有100个细菌,从中采样,每次取10ml培养,平均每支试管有10个细菌,一般说来都会得到阳性结果;可是每次取1ml或0.1ml检品培养,就可能出现阳性和阴性两种情况。记录不同稀释度时各管组(常用3管或5管)的阳性管数与阴性管数,再通过概率计算,即可求得MPN。
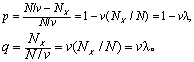
试算法 假定细菌在检品中是均匀分布(可通过震荡等法来彻底混匀),每支试管只要有一个或一个以上细菌就会出现阳性。设N为液体(包括细菌)总容量(ml),v为每个细菌的微小容量(ml),λ为每1ml液体中细菌的个数,N/v为液体总容量的份数(以1个细菌的微小容量为单位),NX为液体总容量中细菌所占微小容量的份数(以1个细菌的微小容量为单位),也可看成细菌的总数,(N/v-NX)为液体中水所占容量的份数,p为vml培养液中阴性的概率,q为vml培养液中阳性的概率。则


故αml培养液中阴性的概率为


p=(1-vλ)α/v,
lnp=ln(1-vλ)α/v,


按Maclaurin级数展开,得


由于v很小,故

ln p≐-αλ,


即 p=e-αλ,
q=1-e-αλ。
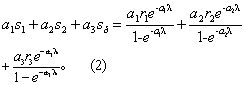
若取三种稀释度,各设一个管组,培养结果用符号表示如下:

稀 释 度a1a2a3
培养管总数n1n2n3
阳性管数r1r2r3
阴性管数s1s2s3
当稀释度为α1 (即每管的检品量)时,n1管中有r1管阳性,s1管阴性的概率,可借二项分布求得:

推而广之,上述三个稀释度下,事件同时出现的概率P为:


当r1、s1、α1; r2、s2、α2; r3、s3、α3确定后,上式仅λ为变量。将此式对λ求导数并令结果等于0,以解概率极大时之λ值。即:

λ值可由式(2)通过试算法求得,亦可用优选法帮助估算。实际工作中已有用本法编成的便查表可查。
例1 试由下列水样培养结果,估计每100ml水中的大肠菌

数。
培养管总数33
每管检品量(ml)101
阳性管数32
阴性管数01

代入式(2)得


用试算法确定λ值:

令λ为代入上式右端得与上式左端比较
1
1.2
1.1
1.1653
0.8622
0.9984
大于1
小于1
近于1

估计该水100ml中有大肠杆菌的最可能数为110个。
例2 试由下列奶样检验结果,估计每100ml牛奶中的大肠菌数。

培养管总数33
每管检品量(ml)10.1
阳性管数03
阴性管数30

代入式(2)得


用优选法确定λ值:
已知优选范围为λ=0~1个/ml。

选定入值代入上式
右端得
与上式左
端比较
❶0.62(≐0.618)

❷0.85(≐0.618+0.382×0.618)

❸0.94(≐0.854+0.146×0.618)

❹0.95(略大于0.94)

❺0.96(略大于0.95)
4.69
3.38
3.04
3.01
2.98
>3
>3
>3
很接近
<3
估计此牛奶每100ml中有大肠杆菌的最可能数为95个。
近似法 按式(3)计算。

式中∑r为阳性管数之和,N为检样总量(ml),∠为阴性样总量(ml)。当A/N>0.05时,用近似法求MPN的效果是满意的。
例3 仍用例2资料,估计每100ml牛奶中的大肠菌数。本例∑r=3,N=1×3+0.1×3=3.3(ml),A=1×3+0.1×0=3(ml)。
A/N = 3/3.3=0.91>0.05,用近似法,按式(3):


与例2结果相同。
最可能数的可信区间 对于以10为倍数的稀释度系列,每种稀释度用n管,重复检验的MPN服从对数正态分布。故总体MPN的95%可信区间的对数值可按式(4)计算,取反对数即得真数值。


例4 取三种稀释度10ml,1ml,0.1ml的检样,各用三个试管,培养得大肠菌阳性管数分别为3,1,1,算得MPN为75个/100ml,求95%可信区间。

取反对数得(18,314)
本检品每100ml中大肠菌MPN的95%可信区间为18~314个。
☚ 最小二乘法   假设检验 ☛
00013211
随便看

 

离鸟网收录3541549条中英文词条,其功能与新华字典、现代汉语词典、牛津高阶英汉词典等各类中英文词典类似,基本涵盖了全部常用中英文字词句的读音、释义及用法,是语言学习和写作的有利工具。

 

Copyright © 2004-2024 vtrois.com All Rights Reserved
更新时间:2026/4/21 1:06:51