网站首页  词典首页


请输入您要查询的字词:

 

字词 替代弹性不变的生产函数
类别 中英文字词句释义及详细解析
释义
替代弹性不变的生产函数

替代弹性不变的生产函数CES production function

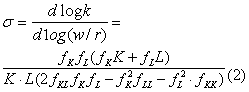
指在生产要素投入之间具有不变的替代弹性 (CES-constant elasticity of snbstitution) 这样一类生产函数。其一般形式为y=T[αK+(1-α)L]-(1/ρ)(1)式中y代表产出,K为资本投入,L为劳动投入,T、α、ρ为参数,它们需满足T≥0、0≤α≤1、ρ≤-1的条件。为考察该函数的性质,下面引入替代弹性概念。对于任何新古典式的生产函数y=f(K,L),资本与劳动两种要素之间的替代弹性都可以表为资本与劳动比例 (K/L) 或k的百分比变化和工资与利润率比例或劳动与资本边际产品比例 (W/r) 的百分比变化二者的比率,写成公式即为:

式 中=W,fKK、fLL为两个边际产品的自身导数,fKL为两个边际产品的交叉导数,σ为替代弹性系数。
根据(2)式的定义来研究(1) 式,我们便可得到


(3)

(3) 式表明参数ρ与σ紧密相关,它故而被叫作“替代参数”。至于α则被叫作“分配”参数,它显示资本与劳动在生产中相对重要性的变化。这样,(1) 式所具有的替代弹性不变的特性便显示出来。实际上,它不止代表一个函数,而是代表了一个函数族,其所包含的生产函数都具有替代弹性不变的特征。例如,当ρ→0或σ→1时,(1) 式的CES函数收敛于柯布——道格拉斯函数形式:y=TKxL(1-x)(4)该函数的替代弹性恒等于1。当ρ→∞而σ→0时,这又回到了零替代弹性的列昂捷夫式的生产函数。
CES生产函数是由阿罗(Arrow)、钱纳里(Chenery)、米恩斯(Means)和索洛(Sollow)于1961年为估算总量生产函数的不变的规模收益而首先提出来的,此后这种生产函数及其变态便被广泛应用于关于生产行为的理论和经验研究之中。除了生产方面的分析以外,它还被应用于效用函数等研究领域。
☚ 柯布—道格拉斯生产函数   生产要素替代弹性 ☛
00000080
随便看

 

离鸟网收录3541549条中英文词条,其功能与新华字典、现代汉语词典、牛津高阶英汉词典等各类中英文词典类似,基本涵盖了全部常用中英文字词句的读音、释义及用法,是语言学习和写作的有利工具。

 

Copyright © 2004-2024 vtrois.com All Rights Reserved
更新时间:2026/4/20 2:03:21