中性亚硫酸盐法蒸煮脱木素反应的动力学方程
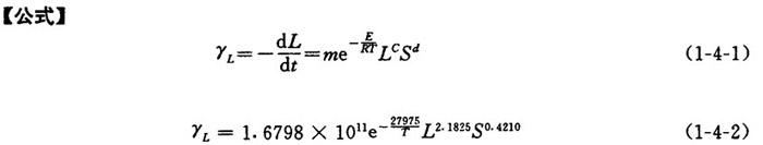
【说明】早在1968年N·C·Schari对杨木木片中性亚硫酸盐蒸煮动力学进行了研究,在注意蒸煮温度和时间影响的同时,也考虑了蒸煮药液浓度对制浆反应的效应。chari认为脱木素速率与反应物浓度成比例。  式中 γL——脱木素速率[木素除去量g/(100g绝干木片·min)] t——时间(min) E——阿仑尼乌斯活化能(J/mol) R——气体常数,8.32J/(mol·K) T——反应温度(K) L——木素浓度(g/100g绝干木片) S——Na2SO3在蒸煮液中的浓度(g/L)(以Na2O计) m、c、d——常数 |