中心矩
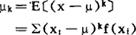
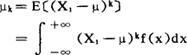
指随机变量(x)对平均数(μ)的离差(x-μ)的k阶矩。 它的应用很广,常用μk表示。对离散型随机变量的k阶中心矩的一般公式为:  对连续型随机变量的k阶中心矩为:  一阶中心矩恒等于零,二阶中心矩即方差(σ2)。如果随机变量的分布对称于数学期望E(X),则它的所有奇数阶中心矩都等于零,故任意奇数阶中心矩可作为描述分布的非对称性的特征。通常利用三阶中心矩(μ3)表示分布的偏斜程度,除以σ3,消除单位影响,用μ3/σ3作为偏度。μ3/σ3>0,分布为右偏;μ3/σ3<0,分布为左偏;μ3/σ3=0,分布为对称。四阶中心矩(μ4)常用来描述分布的峰度高低的度量,并用μ4/σ4表示峰度的高低,当μ4/σ4>0称高峰态;μ4/σ4<0称低峰态。 正态分布的偏度和峰度都等于零。对随机变量的统计分布,类似的有相应的统计中心矩,其计算公式相仿,如k阶统计中心矩 ,fi为频率。 |