网站首页  词典首页


请输入您要查询的字词:

 

字词 中心极限定理
类别 中英文字词句释义及详细解析
释义 中心极限定理

概率论中基本的极限定理之一。

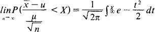
粗略地说,“大量独立的,微小的,有正有负的干扰的综合作用”产生正态分布。也就是说,当总体具有有限均值μ和方差σ2时,只要样本容量n充分大,从总体抽取的样本,其样本平均数就近似地服从正态分布

用数学符号表示:

中心极限定理是统计检验的理论基础。

随便看

 

离鸟网收录3541549条中英文词条,其功能与新华字典、现代汉语词典、牛津高阶英汉词典等各类中英文词典类似,基本涵盖了全部常用中英文字词句的读音、释义及用法,是语言学习和写作的有利工具。

 

Copyright © 2004-2024 vtrois.com All Rights Reserved
更新时间:2026/4/19 13:03:21