网站首页  词典首页


请输入您要查询的字词:

 

字词 中心投影
类别 中英文字词句释义及详细解析
释义 中心投影

从一点发出的光线所形成的影子称为中心投影.

注意 1.探照灯、手电筒、路灯、台灯的光线均可看成是从一个点发出的,所以它们所形成的影子即为中心投影.

2.同一时刻,同一平面内分别过两个不同物体(看作线段)的顶端和影子的顶端作两条直线,如果两条直线有交点,那么交点就是光源的位置,此时为中心投影.如果两条直线平行,那么就是在太阳光线下形成的平行投影.

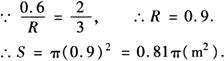
例1 如图,这是圆桌正上方的灯泡(看作一个点)发出的光线照射桌面后,在地面上形成阴影(圆形)的示意图,已知桌面的直径为1.2m,桌面距离地面1m,若灯泡距离地面3m,则地面上阴影部分的面积为( ).

A.0.36πm2

B.0.81πm2

C.2πm2

D.3.24πm2

答 B.

[解析] 此图形为圆锥,利用圆锥的轴截面中所形成的相似三角形可求得地面上圆(阴影)的半径,进而求阴影部分面积.

例2 请根据下图信息,画出同一时刻标志牌的影子.

例3 一个人晚上迎著路灯走时,他影子的变化方式为( ).

A.由长变短 B.由短变长

C.保持不变 D.不一定

答 A.

随便看

 

离鸟网收录3541549条中英文词条,其功能与新华字典、现代汉语词典、牛津高阶英汉词典等各类中英文词典类似,基本涵盖了全部常用中英文字词句的读音、释义及用法,是语言学习和写作的有利工具。

 

Copyright © 2004-2024 vtrois.com All Rights Reserved
更新时间:2026/4/20 9:54:30