网站首页  词典首页


请输入您要查询的字词:

 

字词 无理数指数幂
类别 中英文字词句释义及详细解析
释义
无理数指数幂

无理数指数幂wulishu zhishumi

假设a是一个任意的正数,a是一个任意的正无理数,那么aa叫做无理数指数幂.并规定:aa是存在于以a为底,以a的不足近似值为指数与过剩近似值为指数的幂的数列之间,并等于这两个数列的共同的极限.
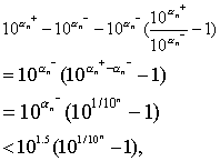
例如,设a= 10,的精确到0.1,0.01,0.001,…1/10n,…的不足近似值和过剩近似值,给出两个数列


因为当底数大于1时,指数越大,这个幂的值也越大,所以数列(1)是递增数列,并且总小于101.5;同样数列(2)是递减数列,并且总大于101.4,即数列(1) (2)均是单调有界数列,故均有极限.因为


这就证明了数列(1)和(2)有共同的极限.这个极限是存在且唯一的.用
表示这个极限,即


同时规定:a-a=1/aa(a> 0,a是正无理数).
零的正无理数次幂规定为零,零的负无理数次幂没有意义.例如无意义(零不能作除数).
无理数指数幂的定义,在底数是负数时没有意义.例如,要确定的意义,需要用(-5)1.4,(-5)1.41,…来做它的近似值,但是分数指数幂在底数是负数时没有意义.
可以验证,有理指数幂的运算法则对于任意无理数指数幂仍能够适用.
☚ 有理数指数幂的运算法则   实数指数幂 ☛
00012188
随便看

 

离鸟网收录3541549条中英文词条,其功能与新华字典、现代汉语词典、牛津高阶英汉词典等各类中英文词典类似,基本涵盖了全部常用中英文字词句的读音、释义及用法,是语言学习和写作的有利工具。

 

Copyright © 2004-2024 vtrois.com All Rights Reserved
更新时间:2026/4/19 18:26:26