系抗生素的一种。抗菌作用与卡那霉素近似,口服治疗婴儿腹泻、中毒性消化不良等,也可用于肠道手术前准备及外用治疗局部感染等。口服1日3~4次,1次1g。本品可致耳、肾毒损并可抑制呼吸,故不可用于体腔内大量留置给药,尤其禁止注射用;肠梗阻忌用。
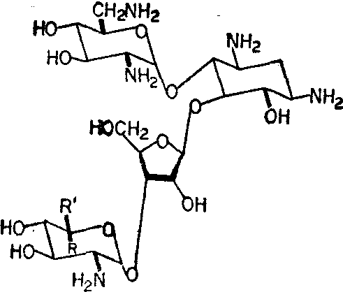
新霉素

新霉素B R=CH2NH2,R′=H
新霉素C R=H,R′=CH2NH2
新霉素(neomycin)是由Str. fradiae产生的抗生素。该菌株产生A、B、C三种组份,B和C互为立体异构体,A(即新霉胺)亦为B和C的降解产物。临床主要用新霉素B的硫酸盐。
新霉素硫酸盐为白色粉末,易溶于水,微溶于乙醇,不溶于丙酮、氯仿和乙醚。新霉素在碱性溶液中很稳定,抗菌作用亦较强。
新霉素是一广谱抗生素,对大多数革兰阳性、革兰阴性细菌和结核杆菌等皆有抗菌作用。新霉素对细菌的最低抑菌浓度一般在0.01~10μg/ml,本品为杀菌剂。革兰阳性细菌中较敏感者有葡萄球菌 (但耐药性菌株多见)、炭疽杆菌和白喉杆菌;较不敏感者为溶血性链球菌、肺炎球菌和梭状芽孢杆菌属。革兰阴性细菌中较敏感者有大肠杆菌、产气杆菌、肺炎杆菌、痢疾杆菌、沙门菌等; 绿脓杆菌常呈耐药。新霉素对结核杆菌的抗菌作用虽较链霉素为强,但由于毒性过大,因此无临床应用价值。新霉素对真菌、病毒、立克次体等均无抑制作用,对阿米巴原虫则有一定作用。细菌对新霉素可产生耐药性,新霉素耐药菌对卡那霉素和庆大霉素可发生交叉耐药性,并增加对链霉素的耐药性;相反,链霉素耐药菌,对新霉素的耐药性则不一定增加。
新霉素口服后很少为肠道所吸收,但一次口服4g后,高峰血浓度可达4μg/ml;长期口服,特别在肾功能减退时血浓度可显著增高,肝功能减退者亦然。如血浓度>5μg/ml时应即停服。皮肤局部应用新霉素后也很少吸收。
新霉素口服后易引起食欲不振、恶心、便次增多等胃肠道反应。长期口服可导致营养吸收不良症、腹泻、念珠菌二重感染等。局部用药有引起过敏性皮炎的可能。新霉素肌内注射后很快被吸收,并可引起严重副作用,最主要者为永久性听力减退及肾功能损害,故现已不作注射给药。
新霉素口服用于治疗致病性大肠杆菌所引起的婴儿腹泻、细菌性痢疾和阿米巴痢疾,并可作为腹部手术前的灭菌剂。0.5%新霉素水溶液或软膏局部用以治疗金黄色葡萄球菌所致的皮肤感染和五官科疾病。
新霉素口服常用量:一次0.25~0.5g,一日四次。儿童每公斤体重每日25~50mg,分四次服用。