新古典区域经济增长模型neoclassical regional economic growth model
新古典区域经济增长模型是运用新古典学派的经济增长理论,以纯供给要素为出发点所建立起来的模式。它认为,在规模收益不变,存在完全竞争的产品和要素市场的前提下,区域经济长期增长来源于资本、劳动力和技术进步三个要素的区内供给率差异和区际流动。由于假定随着区域资本劳动率的提高,边际劳动生产率(以工资率表示)也提高,而边际资本生产率则降低。因而,资本与劳动力的域流向相反,即劳动力将由低工资区域流向高工资区域,而资本将由高工资区域流向低工资区域。其结果,区域间的差距将趋于缩小,区域经济将趋于均衡增长。
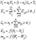
新古典区域经济增长模型可用如下方程式体系表示:

其中,Y
i、K
i、L
i、T
i分别为区域i的产出增长率、资本增长率、劳动增长率及技术进步增长率。a
i为资本对收入的弹性系数,S
i为收入储蓄率,V
i为资本产出率,K
ji为资本每年从j区域流向i区域的数量占i区域资本存量的比例,m
ji为j区域向i区域每年净迁入人口占i区域总人口的比例,R
i、R
j分别为i区域、j区域的资本收益率,W
i、W
j分别为i区域、j区域的工资率,n
i为i区域的人口自然增长率。