斯卢茨基方程Slutsky Equation
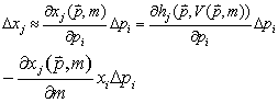
又常被称作经济价值论的基本方程。该方程把同价格变化有关的需求量变化分为两部分: 替代效应和收入效应。其代数表达式为:

式中,x
j(

,m)是关于j的马歇尔需求函数,h
j(

,V(

,m))是关于j的希克斯需求函数,V(

,m)是间接效用函数。方程两边同乘以△p
i有:

上式左边为需求变化的总效应,右边第一项是替代效应,第二项是收入效应,其中x
i△p
i为保证效用不变所需的收入改变量(或补偿量)。
〖参〗马歇尔需求函数
希克斯需求函数
间接效用函数
替代效应
收入效应