网站首页  词典首页


请输入您要查询的字词:

 

字词 断尾回归
类别 中英文字词句释义及详细解析
释义
断尾回归

断尾回归truncated regression

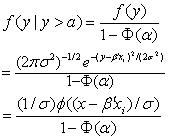
断尾回归为回归模型yi=β′xii中被观察的被解释变量是断尾变量的回归。假定εi~N(0,σ2),则断尾正态分布为:

其中φ(·)和Φ(·)分别是标准正态概率密度和分布,
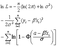
给定样本(y1,x1),…,(yn,xn),对数似然函数为:


断尾回归参数β和σ2的极大似然估计就是极大化对数似然函数。
☚ 截取与断尾变量   托宾回归 ☛
00000795
随便看

 

离鸟网收录3541549条中英文词条,其功能与新华字典、现代汉语词典、牛津高阶英汉词典等各类中英文词典类似,基本涵盖了全部常用中英文字词句的读音、释义及用法,是语言学习和写作的有利工具。

 

Copyright © 2004-2024 vtrois.com All Rights Reserved
更新时间:2026/4/20 14:36:29