网站首页  词典首页


请输入您要查询的字词:

 

字词 数字滤波器
类别 中英文字词句释义及详细解析
释义
数字滤波器

数字滤波器digital filter

对数字信号进行运算处理,完成滤波作用的装置。其特性可描述为:由x(n),y(n){n=0,1,2,…},分别表示数字滤波器的输入和输出信号序列,当ar,bk为滤波器关系时,基本算法可由差分方程


表示。相应的频域转移函数表示滤波器的频率特性。模拟信号需先经限带、抽样、A/D变换,再进行数字滤波,输出信号则需要经D/A变换和平滑滤波。按所处理的信号的类型,数字滤波器可分为处理语音等一维信号的一维数字滤波器和处理图像等二维或多维信号的多维数字滤波器。按滤波器的单位冲激响应又可分为有限脉冲响应滤波器(FIR)和无限脉冲响应滤波器(IIR)两类。具有性能稳定可靠、精度高、可程控改变特性,便于大规模集成等优点,还可实现许多模拟滤波器无法实现的滤波特征,如准确的线性相位滤波等。可在计算机上以软件方式实现,也可由大规模集成电路以硬件方式实现。前者具有可灵活改变滤波器特性的优点,后者的处理速度快,有利于信号的实时滤波。可编程的数字信号处理器能够以软件和硬件相结合的方式实现数字滤波,综合了两者的优点。
☚ 数字图像处理   语音信号处理 ☛

数字滤波器

采用数字电路实现信号滤波的电磁波滤波器。

数字滤波器

数字滤波器

在模拟信号处理中,各种滤波器是用电阻、电容、电感和运算放大器等电路元件组合起来的,其实质是对输入信号实行一定的微分方程运算后再行输出,由于对不同频率正弦波运算的结果不同,故可产生低通、高通、带通、带阻等作用。与此对照,由数字加法器、数字乘法器和移位寄存器等数字部件构成的用以实现差分方程运算的系统,称为数字滤波器。一般用通用计算机进行数字滤波,使用者的任务只是设计适当的算法,并编成程序。模拟滤波器往往受电路元件的物理条件限制(例如,电感不易小型化,电容量不能太大等);而数字滤波器比模拟滤波器灵活性大,只要改变程序中的某些参数就能改变滤波器性能。不过数字滤波器滤波结果是通过计算机计算逐步得出的,故需要的时间较长,仅在计算所需时间比信息本身变化的时间短得多时才能实时工作。为了使数字滤波器能实时工作,提高计算速度是个重要问题。计算机工艺的飞速发展使这个问题日益得到解决。
常见的数字滤波器 根据实现差分方程运算的系数和算法的不同,数字滤波器可以起低通、高通、带通、带阻滤波的作用。
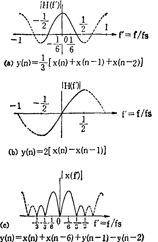
❶三点平均器:某时刻nTs的输出y(n)是同时刻的输入x(n)和前两次输入x(n-1)、x(n-2)的平平均器可以把毛刺较多的输入波形x(n)变成比较平滑的输出波形y(n),起低通滤波作用,如图1所示;
❷高通滤波器:某时刻nTs的输出y(n)是同时刻的输入x(n)和前一次输入x(n-1)差值的两倍,即:y(n)=2[x(n)-x(n-1)],它可以使得输出波形更加突出输入波形中变化得较快的高频分量,起高通的作用,如图2所示。高通滤波可以用来减小输入信号中的基线漂移;
❸低通滤波器: 用本次输入x(n)的1/10和前次输出y(n-1)的9/10组合起来作为本次输出,即y(n)=-1),它同样可用



图1 三点平均器

来平滑输入波形,起低通滤波作用,如图3所示;
❹带通滤波器: 按式y(n)=x(n)+x (n-6)+y(n-1)-


图2 高通数字滤波器



图3 低通数字滤波器



图4 带通数字滤波器

y(n-2)进行差分运算。它能把输入波形中一定范围内的频率成分加强,抑制其他低频及高频成分,起带通滤波器的作用,如图4所示。
数字滤波器分类 分为非递归式数字滤波器和递归式数字滤波器二种。
❶非递归式数字滤波器: 每次输出只决定于本次和前若干次输入,与以往的输出无关,实现非递归运算,其一般形式为

波器系数,Q是滤波器的阶数;
❷递归式数字滤波器:滤波器现时输出不只与输入有关,而且也与以往的输出有关,滤波器以往的输出能反馈回来影响新输出,实现递归k),式中aj和bk均为滤波器的系数。


数字滤波器频率特性 数字滤波器的性能可由其频率特性说明。频率特性可由滤波器的差分方程求得,由不同的差分方程所求得的几种滤波器的幅频特性如图5所示,它们分别表现出低通、高通和带通的性质。


图5 几种滤波器的幅频特性


线性相位滤波器
当非递归式滤波器的系数bk满足一定条件时,其相频特性和频率成正比,称为线性相位滤波器。在非递归式滤波器的差分方程-k)中,如果阶次Q是奇数,而且bk=bQ-k,就构成线性相位滤波器,避免信号在被滤波后波形发生失真。生理信号波形细节往往包含重要信息(例如心电图的R波宽度,ST段下降等),相位畸变问题应该重视。

☚ 信号的模数转换   信号的频域分析 ☛
00004781
随便看

 

离鸟网收录3541549条中英文词条,其功能与新华字典、现代汉语词典、牛津高阶英汉词典等各类中英文词典类似,基本涵盖了全部常用中英文字词句的读音、释义及用法,是语言学习和写作的有利工具。

 

Copyright © 2004-2024 vtrois.com All Rights Reserved
更新时间:2026/4/19 0:50:13