| 释义 |
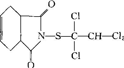
敌菌丹captafol三氯甲硫基类杀菌剂。化学名称:N-1,1,2,2-四氯乙硫基四氢苯二甲酰亚胺。化学结构式如下。纯品白色结晶,熔点160~161℃,室温下不挥发,难溶于水,微溶于大多数有机溶剂。强碱时不稳定,160℃时分解。广谱性保护杀菌剂。喷洒防治多种植物叶部和果实病害,亦可作木材防腐剂。对人畜低毒,大鼠急性口服LD50为5 000~6 200 mg/kg,大白兔经皮毒性LD50>15 400 mg/kg,大鼠日饲500 mg/kg、狗日饲10 mg/kg剂量,经两年试验未见中毒现象。 
|