网站首页  词典首页


请输入您要查询的字词:

 

字词 放射性测量的统计误差
类别 中英文字词句释义及详细解析
释义
放射性测量的统计误差

放射性测量的统计误差

放射性测量的目的是了解样品的真正放射性活度。实际测量到的活度不会与真正活度绝对相等,其差距就是测量误差。测量误差可由多种因素引起,分为系统误差和随机误差两大类。
系统误差和随机误差 系统误差通常由工具的刻度不准、标准品的标定数值不准、操作者对某一操作步骤有习惯性偏差等因素引起。它常是单向性的,使每一测量值都偏向某一方向。随机误差则由偶然事件引起,如仪器效率的波动、取样时定量不准确和放射性的统计涨落等。它通常是双向性的,而且各样品的误差程度不同,有一定的分布规律。系统误差是可以避免的,即使不能消除,也比较容易校正。随机误差则常难绝对消除,测量者只能设法将它控制在一定限度以内。
对放射性测量来说,随机误差的最主要来源是放射性核素本身衰变的统计涨落。如仪器比较稳定,操作仔细,实际测量值的统计涨落主要由衰变的统计涨落引起。
放射性衰变的统计涨落 放射性核素的衰变在总体上有一定的规律性,反映在每种放射性核素有一定的半衰期,这是由各种原子核特有的矛盾决定的。然而,同一种核素,其每一个核在什么时候衰变,却是独立事件,是随机的。因此,衰变有统计涨落,就是一定量的某种核素,在每一单位时间内衰变的原子数不会绝对相同,而是围绕着一个均数参差不齐的。所以放射性测量和其他一些测量(如称重、量体积)不同,即使没有环境变化、仪器效率波动等,多次测量值也不会都相同。均数不很大时,多次测量值呈泊松(Poisson)分布,均数较大时,接近高斯(Gauss)分布,即正态分布。
由于这种统计涨落,要知道样品的真正放射性活度,就需测无限次数,经衰变校正再求均值,但是通常只能在有限时间内测一次或几次,取平均值,亦即用样本均值代表总体均值。样本均值不会和全体均值绝对相等,而有一定误差,即所谓统计误差。了解统计误差的含义及其计算方法对于获得可靠数据、选择测量条件、进行实验设计等都有十分重要的意义。
标准误差 放射性测量统计误差的表示方式有很多种。在核医学中,为使测量数据与其他医学统计工作相衔接,通常将标准偏差与标准误差的含义加以区分。一般的测量都是从总体中抽取一个样本,用这个样本的均值来代表总体的均值(放射性测量是以测量时衰变的原子代表全体原子),这时,标准偏差的含义是该样本中各个别数值的离散程度,而标准误差的含义则是样本均值的离散程度,由此可以反映用样本均值代表总体均值时,其偏离的程度。也就是标准误差可以反映样本均值的可靠性。所以,通常都用标准误差来表示测量的统计误差,也简称标准误,其符号为S.E.或σn- (为样本均数)。若对一样品作X次测量,每次测1分钟,n为各次实测值(cpm),为均数,则按一般数理统计的公式,


在实际工作中,常只作一次测量,测量时间则根据需要和可能而定。设在t分钟内测得总计数为N,均值为,则按泊松分布的数学特点,标准误的计算很方便:

上述计算的前提是: 样品的半衰期应远大于测量时间;N应足够大(最好>100); t的统计涨落很小,可忽略不计。
各样品均值不同时,用σ-n的绝对值常不能一目了然地看出何者的误差大,所以还需计算相对标准误差,即以σ-n除,结果以%表示,其符号写作S.E.%或根据公式(2)可导出:

故总计数越大,相对标准误越小;对某一特定样品,测量时间越长,相对标准误越小。
相对标准误反映测量的精密度(简称精度),即重复测量的数值互相接近的程度。若没有系统误差,它也反映测量的准确度,即测得的均值与总体均值接近的程度。
可信限 标准误的含义是反映样本均值的离散程度,当N足够大时(>100),就可按统计学上正态分布的规律,估计总体均值所在的范围,即推算总体均值的可信限:

以99%可信限为例,其含义是:总体均值在(-2.58σn-)到(+2.58σn-)这一范围的可能性有99%,如果以这一范围来估计总体均值,估计错误的机会只有1%。医学上常要求放射性测量的相对标准误控制在±5%以内,其意义是要求以实测均值的±1.96σ,即90%到110%这一范围来估计总体均值,这时,总体均值不在此范围的几率<5%。
误差传递 实际工作中,常需对两个或两个以上的测量值进行运算才能得到所需要的数据。例如样品计数率需扣除本底计数率才能得到样品的净计数率,样品甲的计数率需被样品乙的计数率除才能得到两者的比值等。运算后,最后的数据将更为离散,其相对标准误差将更大。这是因为,各原始测量值的误差都要传递到最终结果中去,统计学上称为误差传递。最后的总标准误可用误差传递公式求得。设最后的数据是y,通过y=f(x1,x2,……xn)这一函数式求得,其中x1,x2,……xn均为独立变量,则误差传递公式为:

式中σx1x2,……分别为各独立变量的标准误。若x1,x2,……xn中有个别变量不是独立的,而是另一变量的函数,公式需稍加改变。
根据公式(4)可以导出以下两个常用公式:


公式(4)有一定的普遍性,其他较复杂的运算,结果的总误差也可由此导出,如液体闪烁测量各种猝灭校正方法的总统计误差,绝对测量的总统计误差等。
本底的测量误差 本底计数率由宇宙线、环境中放射性物质、光电倍增管噪声等引起,也有统计涨落,其统计误差对样品净计数率的影响可由公式(5) 导出。若样品和本底的计数率均值分别为nT和nB,测量时间分别为tn和tB,样品净计数率为nS,则因为nS=nT-nBns


可以看出,本底计数率越小,其测量时间越长,则对σns的贡献越小。减少测量总统计误差的办法之一就是设法降低nB,或延长tB。但是,当nT/tT远>nB/tB时,本底误差对总误差的贡献相对来说已不重要,这时再要减少总误差,主要应延长样品测量时间tT。式(7)及(8)是常规测量最常用的公式。
低水平测量时,欲使σns控制在一定范围,必须既延长tT,又延长tB。这时,一个样品的数据可能要几小时甚至几天才能得到,节省时间就很重要。通过公式(7),用微分法可求出,要使获得同样的σns花费的总时间 (T=tB+tT)最短,tB和tT应有一最合适的比例:


品质因数 实践中常需比较不同的测量方法(不同仪器、同一仪器不同工作条件、不同样品处理方法等),除考虑其他因素(仪器稳定性、操作误差等)外,很重要的一点是统计误差的大小。将公式(9)代入公式(8)可得到下式:


对低水平样品(nS很小),右侧的分子主要决定于nB,上式可简化为

若固定测量总时间,相对标准误的平方与nB/n2S成正比。也就是说,nB/n2S越小(或n2S/nB越大),相对标准误越小。nS与测量效率成正比,nB也可写成B,通常就以E2/B作为评价不同测量方法的一个重要参数,称为品质因数,其含义是: 品质因数大者,用相同的测量总时间可获得较小的标准误。应该指出,E2/B是评价低水平测量的品质因数,不适用于强样品。强样品的统计误差较易控制,选择测量方法主要考虑其他因素(探测器的时间分辨率等)。
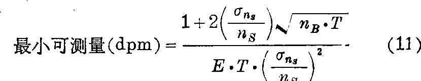
最小可测量 是指在规定时间内,要使相对标准误控制在一定的百分数,样品的放射性最低可到多少。低水平测量的实验设计常需考虑这,有人也用它作为比较不同方法的参数。若规定的测量总时间为T,本底计数率为nB,允许的相对标准误是σns/ns,探测效率是E,则从公式(10)可导出:

以现代液体闪烁计数器为例,对氚的E为60%(0.60),nB为15cpm,若规定T(tB+tT)为100分钟,要求σns/nS≤0.10,代入上式可算出最小可测量是15dpm。
在监测污水或尿中的氚含量,或食物中有无放射性物质时,人们注意的往往不是最小可测的绝对量,而是最低可测的放射性浓度。可按下式计算:

仍以液体闪烁计数器为例,测水的效率(E)为40%,nB为16cpm,对T及σns/nS的要求同上,每次可测样品体积为3ml,代入上式,最低可测浓度为7.5dpm/ml。
异常数据 放射测量有时可因仪器故障或外界因素而偶然出现异常数据,不属于统计涨落的性质。这种异常数据用一次测量法无法识别。如果怀疑有异常数据出现,需要用多次测量法检验。
若对一个样品测量多次,每次1分钟,先按公式(1)计算标准误。再把多次测量的数值相加,各次的测量时间相加,作为一次测量,按公式(2)计算标准误。正常时两者数值应相近。若前者明显高于后者,则提示多次测量中有个别数值不正常。也可用一般统计方法中的x2检验法判断多次测量值是否都属同一总体。
若已经发现多次测量值中某一数据偏离均数很远,属可疑值,则可用3σ准则或Chauvenet准则决定取舍。两种方法都是先计算该组数据的标准偏差,3σ准则以可疑数据与均数的差是否大于三个标准偏差为界限,若>3σ,则说明该可疑数据属正常统计涨落的可能性很小,可以舍弃。Chauvenet准则也是计算可疑数据与均数的差等于σ的多少倍,但所定的界限随样本大小而变,样本数为10时,界限定为1.96σ,样本数为50时,界限定为2.58σ,样本数为200时,界限定为3.02σ。所以对较小样本,Chauvenet法舍弃可疑数据的机会比3σ法多,两种方法何者更可靠尚无定论。
总不确定度 表示一个测量值总误差大小的方法很多。在很多情况下,已知误差主要由放射性统计涨落引起,只用标准误、相对标准误或可信限已可满足要求。对一些测量步骤较复杂而准确度要求又较高的测量(如核素活度的绝对测量及一些低水平测量),特别是已知有某些系统误差存在时,需要把其他误差也表达出来。1976年国际辐射单位与测量委员会(ICRU)推荐,以总不确定度来表示一个测量值的误差大小,其定义为:

总不确定度=±(t·sm+δ) (12)

式中t值可根据给定的几率从t表查到,sm即测量的标准误σ,所以t·sm就是根据统计误差计算的可信限。δ则是各系统误差估计值的算术和。多数情况下,δ在正负两方向不相等,这时总不确定度的范围是+(t·sm+δ)到-(t·sm+δ′)。
☚ 放射性核素的绝对测量   γ谱仪 ☛
00018649
随便看

 

离鸟网收录3541549条中英文词条,其功能与新华字典、现代汉语词典、牛津高阶英汉词典等各类中英文词典类似,基本涵盖了全部常用中英文字词句的读音、释义及用法,是语言学习和写作的有利工具。

 

Copyright © 2004-2024 vtrois.com All Rights Reserved
更新时间:2026/4/21 12:06:16