网站首页  词典首页


请输入您要查询的字词:

 

字词 指数曲线拟合
类别 中英文字词句释义及详细解析
释义
指数曲线拟合

指数曲线拟合

指数曲线亦称指数生长曲线。双变量资料中,当观察值X越增大,观察值Y就随之增加(或减少)得越快。这类资料可拟合指数曲线,并用拟合的指数曲线方程来分析两变量之间的关系。拟合方法常用最小二乘法或目测法。
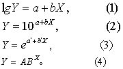
指数曲线方程的一般形式为

式(1)是对数形式,式(2)~(4)是指数形式。指数曲线的形状可概括为八型,见图1。图中平行线条表示曲线与其渐近线的距离。图下为其方程的形式,其中Ⅰ~Ⅳ型Y变量为对数,故渐近线与X轴平行; Ⅴ~Ⅷ型X变量为对数,故渐近线与Y轴平行。方程中的K是由拟合曲线时经尝试得到的。


ⅠlgY=a+bX
ⅡlgY=a-bX



Ⅲ lg (K-Y) =a+bX
Ⅳ lg (K-Y)=a-bX



Ⅴ Y=a-blg(K-X)
Ⅵ Y=a-blgX



Ⅶ Y=a+blg(K-X)
Ⅷ Y=a+blgX


图1 八型指数曲线


最小二乘法 步骤如下:
(1)将资料在方格坐标纸上绘散点图,并从图1选出与观察点趋势相似的方程形式。
(2)直线化。按方程的形式所示,将资料在半对数纸上绘散点图。若点子不呈直线趋势,则在取对数的每个变量值上加K或减K,再作散点图。给定不同的K值,如此反复尝试,直到点子的直线趋势最好,即得最适当的K值。
(3) 求方程。将资料按X与Y成对列出; 再按选定的方程形式及直线化时所得K值,将变量值作相应变换;用变换值以最小二乘法求直线方程,并写成对数或指数形式。
(4) 求Y值。以适当的X值代入所得方程求Y值。(5)作图。 以各(X、 Ŷ)值作点,用曲线板将各点连成光滑的曲线。曲线与各观察点的纵向距离近,表示拟合得好。必要时作曲线的拟合优度检验。
目测法 按资料性质,曲线必须通过某定点时; 或在直线化过程中若资料的大部分观察点的直线趋势已较明显,但有的观察点却有较大偏离,用改变K值难以进一步提高效果时,可采用目测法拟合曲线。即在上述第(2)步的基础上,直接在半对数纸上根据观察点作一目测直线,然后在线上任选两个距离较远而又便于读数的点子,用两点式建立直线方程。设两点坐标为(X1,Y1)和(X2,Y2),代入式(5),化简得直线方程,即曲线方程的对数式。


例1 以不同温度X对醋柳果汁加温3小时,测其维生素P的破坏百分比Y,结果见表1第(1)、(2)栏,试拟合指数曲线。

表1 拟合指数曲线(最小二乘法)

温度(℃)
X
(1)
破坏率(%)
Y
(2)
Y+5
(3)
lg(Y+5)
(4)
Ŷ(%)
(5)
60
80
100
120
0.8
6.5
20.5
45.9
5.8
11.5
25.5
50.9
0.7634
1.0607
1.4065
1.7067
0.75
6.95
19.85
46.68

绘散点图见图2各观察点,对照图1,观察点呈图1Ⅰ型指数曲线形状,其方程形式为

lgY=a+bX,


因此Y取对数尺度,X取算术尺度,在半对数纸上绘散点图,得图3圈点。圈点尚未呈直线趋势,试取Y+5再绘图,得图3黑点,呈很好的直线趋势,故K=5。于是,按表1第(1)、(4)栏,各对X与y=lg(Y+5),用最小二乘法求直线回归方程。


图2 表1数据拟合指数曲线


图3 图2观察点的直线化


此方程的对数形式为

lg(Ŷ+5)=-0.1947+0.0159X,

其指数形式为Ŷ=10-0.1947+0.0159x-5,

或 Ŷ= 0.6387(1.03729)x-5。

将X=60,80,100,120分别代入上式, 得各Ŷ,见表1第(5)栏。 以各(X,Ŷ)值绘点,连成曲线即图2的曲线。
例2 某地1963年调查得儿童年龄(岁)X,与锡克试验阴性率(%)Y的数据见表2第(1)、(2)栏,试拟合指数曲线。

表2 拟合指数曲线(目测法)

年龄(岁)
X
(1)
阴性率(%)
Y
(2)
97.5-Y
(3)
Ŷ(%)
(4)
1
2
3
4
5
6
7
57.1
76.0
90.9
93.0
96.7
95.6
96.2
40.4
21.5
6.6
4.5
0.8
1.9
1.3
57.1
78.1
88.1
93.0
95.3
96.5
97.0

绘散点图,见图4各观察点,与图1 Ⅳ型曲线形状相似,其方程形式为

lg(K-Y)=a-bX。


经尝试K=97.5。在半对数纸上以表2第(1)、(3)栏数据作散点图,见图5。图上七个点子,已基本呈直线趋势,但最后三个


图4 表2数据拟合指数曲线


图5 图4观察点的直线化

观察点偏离于直线的两边。因此就在图5上作一目测直线。在直线上读得两点: (1,lg40.4),(4,lg4.5),代入式(5)得
化简得

lg(97.5-Y)=1.9241-0.3177X。


将X=1,2,…7分别代入上式,得各Y值,见表2第(4)栏。以第(1)、(4)栏数据绘点,连成曲线,见图4曲线。
☚ 频数分布的拟合优度   双曲线拟合 ☛
00013265
随便看

 

离鸟网收录3541549条中英文词条,其功能与新华字典、现代汉语词典、牛津高阶英汉词典等各类中英文词典类似,基本涵盖了全部常用中英文字词句的读音、释义及用法,是语言学习和写作的有利工具。

 

Copyright © 2004-2024 vtrois.com All Rights Reserved
更新时间:2026/4/20 21:48:53