网站首页  词典首页


请输入您要查询的字词:

 

字词 拉格朗日恒等式
类别 中英文字词句释义及详细解析
释义
拉格朗日恒等式

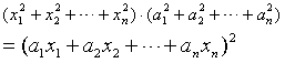
拉格朗日恒等式lage langri hengdengshi

或者用简单记法


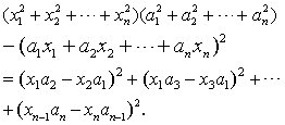
特别在n=3时,拉格朗日公式的形式为


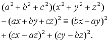
由拉格朗日恒等式,可见等式

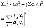
对于实数xi及aj只有当

时才能成立
☚ 乘法公式   欧拉恒等式 ☛
00012076
随便看

 

离鸟网收录3541549条中英文词条,其功能与新华字典、现代汉语词典、牛津高阶英汉词典等各类中英文词典类似,基本涵盖了全部常用中英文字词句的读音、释义及用法,是语言学习和写作的有利工具。

 

Copyright © 2004-2024 vtrois.com All Rights Reserved
更新时间:2026/4/21 18:42:07