网站首页  词典首页


请输入您要查询的字词:

 

字词 折半信度
类别 中英文字词句释义及详细解析
释义

折半信度

即“分半信度”。

折半信度

折半信度

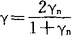
测定信度的最常用指标。折半法是将所有问题按性质、难度排队,编好单双数,在单数题目的回答结果与双数题目的回答之间求相关,即得到折半信度,又称内部一致性系数。由于折半,题目只是原来的一半,长度减少,会降低信度,因此可据下式加以校正放大:。式中,γ是修正后的信度,γn是折半求得的相关系数。

☚ 事实性问卷   投票测试 ☛
00002506
随便看

 

离鸟网收录3541549条中英文词条,其功能与新华字典、现代汉语词典、牛津高阶英汉词典等各类中英文词典类似,基本涵盖了全部常用中英文字词句的读音、释义及用法,是语言学习和写作的有利工具。

 

Copyright © 2004-2024 vtrois.com All Rights Reserved
更新时间:2026/4/19 4:47:58