网站首页  词典首页


请输入您要查询的字词:

 

字词 托宾回归
类别 中英文字词句释义及详细解析
释义
托宾回归

托宾回归Tobin regression

潜在变量yi*由下式给出:


yi*=β′xii

其中εi~N(0,σ2)。且观测到的因变量yi遵循下列规则:

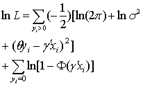
称该模型为托宾回归模型,它的对数似然函数为:


该函数相当复杂,但用Olsen(1978)的重新参数化表示可以获得很大的简化,令γ=β/σ,θ=1/σ。则对数似然函数化为:


除了它非常简单的结构外,这种形式还有海赛(Hessian)矩阵总是负定的优点。这样,牛顿法易于使用,且通常收敛迅速。收敛后,原始参数可用β=γ/θ,σ=1/θ来恢复,这个估计量的渐近协方差矩阵可以利用下式从γ,θ的估计量的渐近协方差矩阵得到:

☚ 断尾回归   非均衡模型 ☛
00000796
随便看

 

离鸟网收录3541549条中英文词条,其功能与新华字典、现代汉语词典、牛津高阶英汉词典等各类中英文词典类似,基本涵盖了全部常用中英文字词句的读音、释义及用法,是语言学习和写作的有利工具。

 

Copyright © 2004-2024 vtrois.com All Rights Reserved
更新时间:2026/4/19 10:58:27