中和法的测定计算
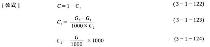
[说明]白水中填料为碳酸钙时可采用中和法。 [测定方法]称取1000g白水试样(同时称样测浓度)置于烧杯中边搅拌边加入1∶2盐酸溶液,中和至水中不再发生气泡为止。用已知重量的3号玻璃过滤器或滤纸过滤,若滤液混浊可以反复过滤至滤液澄清为止。用蒸馏水洗净杯壁附著的纤维,并洗涤至无酸性反应为止,将玻璃过滤器或滤纸在105士3℃干燥之。  式中 C-白水中碳酸钙含量(%) C1-白水中纤维含量(%) G1-空坩埚重(g) G2-绝干纤维及空坩埚重(g) C2-白水浓度(%) G-白水残渣重(见灰化法) |