网站首页  词典首页


请输入您要查询的字词:

 

字词 扑草净
类别 中英文字词句释义及详细解析
释义

扑草净prometryne

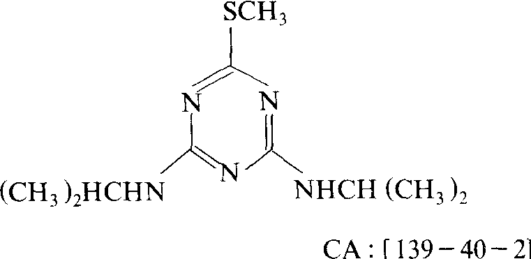
内吸选择性甲硫基三氮苯除草剂。化学结构式:

1959年瑞士嘉基(Geigy)公司首先开发。
性能 纯品为白色结晶,熔点118~120℃,有臭鸡蛋味,蒸气压为133.322×10-6帕,20℃水中溶解度为48毫克/升,易溶于有机溶剂。常温下稳定,高温下遇酸、碱能水解。不燃、不爆、无腐蚀性。大鼠口服LD50为2500~3750毫克/千克,对鲤鱼LC50(90小时)为8~9毫克/升。
扑草净可被植物从根部吸收,也可从叶茎渗入体内,传导至叶片中叶绿体,抑制其光合作用。扑草净对线粒体的呼吸作用抑制效应强于西马津(氯三氮苯)。扑草净对植物种子发芽和根系基本无影响。敏感植物因光合作用受抑,叶呈失绿症状,逐渐干死。对刚发芽的植物杀伤力最强。抗药性植物体内的酶,使扑草净水解和脱烷基化,丧失对植物的毒性而具选择性。另外,棉花对扑草净传导性能较差,根部吸收的药剂大部分仍在原处积累,进入叶绿体的药量相对减少,这也相应提高了棉花的抗药性。扑草净可被土壤吸附,持效期20~70天,旱地较水田长,粘土中更长。
应用 扑草净可在水稻、甘蔗、玉米、向日葵、豌豆、蚕豆、芹菜、胡萝卜、棉花、韭菜、葱及果园、苗圃中应用,防治稗草、马唐、看麦娘、马齿苋、蟋蟀草、藜、眼子菜、牛毛毡、四叶萍、莎草等杂草。对猪殃殃、伞形花科和部分豆科杂草防效不高。在水稻田中每公顷用0.15~0.3千克(南方)及0.3~0.9千克(北方)。秧田、直播田于播种覆土后施药,本田插秧后15~40天间施毒土,旱田一般播后苗前喷施每公顷0.75~2.5千克,杀稗用低量,杀眼子菜用高量。棉田用药略多,小麦田用药量小些。花生、大豆播后苗前喷施0.75千克/公顷为宜。防治稻田眼子菜用药时间,以其叶子从褐色变绿时为宜。此时眼子菜根内贮藏养分最少,容易被杀死。扑草净可与杀草丹、甲草胺、丁草胺等混用防治果园一年生单、双子叶杂草。

扑草净prometryne

又称扑草津、捕草净。三氮苯类内吸、选择性除草剂。化学名称:2-甲硫基-4,6-双异丙胺基均三氮苯。化学结构式如下。纯品为白色结晶,熔点118~120℃,20℃时蒸气压为133.322×10-6 Pa,微溶于水,易溶于有机溶剂。在中性、微酸性或微碱性介质中稳定,在强酸或强碱下水解成无除草活性的羟基衍生物。可通过植物的根、茎和叶吸收,抑制光合作用,阻碍糖类的合成及淀粉的积累,使杂草死亡。扑草净可用于水稻、小麦、花生、大豆、棉花、甘蔗和果园,防除眼子菜、鸭舌草、牛毛草、野慈姑、三棱草、四叶萍、马唐、稗草、看麦娘、狗尾草、藜、苍耳等。扑草净与2甲4氯、除草醚、杀草丹等混用效果更好。对人、畜低毒,大鼠急性口服LD50为3 750 mg/kg,兔急性经皮LD50>10 200 mg/kg。

随便看

 

离鸟网收录3541549条中英文词条,其功能与新华字典、现代汉语词典、牛津高阶英汉词典等各类中英文词典类似,基本涵盖了全部常用中英文字词句的读音、释义及用法,是语言学习和写作的有利工具。

 

Copyright © 2004-2024 vtrois.com All Rights Reserved
更新时间:2026/4/19 6:22:23