网站首页  词典首页


请输入您要查询的字词:

 

字词 扑灭津
类别 中英文字词句释义及详细解析
释义

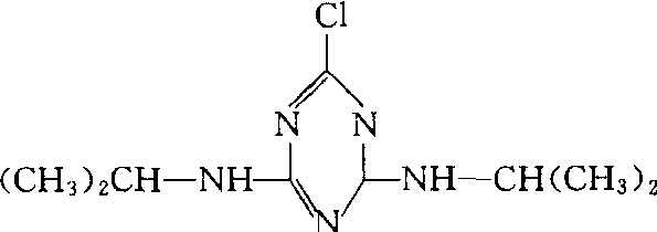
扑灭津propazine

三氮苯类内吸、选择性除草剂。化学名称:2-氯-4,6-双异丙胺基-1,3,5-三氮苯。化学结构式如下。纯品无色结晶,熔点为212~214℃,20℃时蒸气压为386. 6×10-8 Pa。几乎不溶于水,难溶于有机溶剂。在中性、弱酸或弱碱溶液中稳定,遇强酸、强碱易分解。可通过根系吸收,并传导到叶片,抑制光合作用的希尔反应,使叶片缺绿,植株饥饿死亡。可用于玉米、高粱、谷子、果园和苗圃,防除马唐、狗尾草、稗草、早熟禾、看麦娘、藜蓼、繁缕、荠菜等。在土壤中残留期长,对后茬敏感作物易发生药害。对人、畜低毒,大鼠急性口服LD50>5 000 mg/kg,兔急性经皮LD50>10 200 mg/kg。

随便看

 

离鸟网收录3541549条中英文词条,其功能与新华字典、现代汉语词典、牛津高阶英汉词典等各类中英文词典类似,基本涵盖了全部常用中英文字词句的读音、释义及用法,是语言学习和写作的有利工具。

 

Copyright © 2004-2024 vtrois.com All Rights Reserved
更新时间:2026/4/20 7:48:43