网站首页  词典首页


请输入您要查询的字词:

 

字词 恶草酮
类别 中英文字词句释义及详细解析
释义

恶草酮oxadiazon

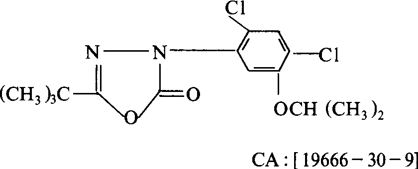
土壤处理选择性触杀型非均三氮苯类除草剂。又名恶草灵、农思它、Ronstar。化学结构式:

1969年由法国罗纳—普朗克公司首先合成开发。
性能 纯品为白色结晶,无味,熔点88~89℃,水中溶解度为0.7毫克/升(20℃ ),易溶于丙酮、四氯化碳、氯仿、甲苯、苯等有机溶剂,在常温下稳定,无腐蚀性,在碱性溶液中分解。对人、畜低毒,大鼠口服LD50>8000毫克/千克、大鼠吸入毒性LD50>200毫克/升。恶草酮对眼、皮肤有微弱刺激作用,乳油有严重的刺激,慢性毒性也低,饲料中含有100毫克/千克,大鼠与狗经两年饲养无不良影响。无致突变、致癌现象发生。对鱼类毒性中等,鲤鱼48小时TLm为3.2毫克/升,虹鳟鱼的TLm大于9毫克/升。
恶草酮通过植物幼芽、根和茎叶吸收,使其停止生长,进而腐烂死亡。恶草酮需在光的作用下发挥除草活性,其杀草效果与光照度成正比。杂草从萌芽期至2叶期对本剂均敏感,幼芽期更敏感。恶草酮的除草活性较除草醚高5~ 10倍。它对茎叶的作用较大,水稻根部的抗药性较强。恶草酮施于土壤中可迅速被土壤吸附固定,由于水溶性小,不易移动和淋洗,在稻田有水层时,撒施12.0%乳油,药液自动迅速在水面上扩散至全田,溶剂挥发后析出有效成分被土壤吸附。恶草酮受微生物降解缓慢,土壤质地对它影响也较小。
应用 主要用于稻田除草,也常用于花生、大豆、棉花、马铃薯、甘蔗、茶园、果园、芦笋田等防除一年生禾本科和阔叶杂草。用药量: 在水稻插秧前用12%恶草酮每公顷3~4.5升用瓶甩法施后,再用机械耙混,使形成2~ 3厘米厚的药层,也可在整地后立即施药,使药剂被泥浆吸附并沉积成药剂处理层。直播稻和旱田花生、棉花、葡萄等都可在播后苗前或杂草出苗前施药,用25%恶草酮1.2~3.0千克/公顷,对水400升进行均匀喷雾、18℃以下用高量,28℃以上用量应酌减。水稻秧苗弱或小苗秧,容易受害,应慎用。田平、保浅水好的药效明显。
随便看

 

离鸟网收录3541549条中英文词条,其功能与新华字典、现代汉语词典、牛津高阶英汉词典等各类中英文词典类似,基本涵盖了全部常用中英文字词句的读音、释义及用法,是语言学习和写作的有利工具。

 

Copyright © 2004-2024 vtrois.com All Rights Reserved
更新时间:2026/4/18 0:42:04