网站首页  词典首页


请输入您要查询的字词:

 

字词 总体百分位数估计
类别 中英文字词句释义及详细解析
释义
总体百分位数估计

总体百分位数估计

总体百分位数(包括中位数,即第50百分位数)估计有点估计和区间估计。点估计是用样本百分位数来估计总体百分位数;区间估计是求出总体百分位数的可能范围,即某一可信度1-α 时的可信区间。求可信区间的方法步骤如下:
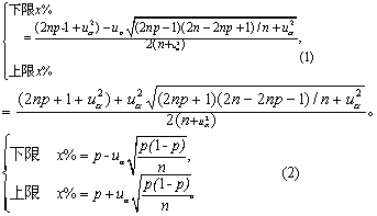
(1)按式(1) 或式(2) 求可信区间上、下限的百分位x%。

式中n为样本含量,p为所求总体百分位数的百分位,uα为可信度1-α时,α水准的标准正态(离)差,由u界值表查得。如求总体第5百分位数的95%可信区间则p=0.05,u0.05=1.96。求x%的方法随n及p的大小而异:
❶n、p′(或1-p)较小时,根据p的二项分布原理,按式(1)计算;
❷n、p(或1-p)较大时,根据二项分布的正态近似原理按式(2)计算较为简便。
(2) 求x%相应的百分位数Px(见条目“百分位数”)。例 某地测得237名正常人尿氟(晨尿)含量如表第(1)、(2)栏,已算得中位数P50=0.86mg/L,第95百分位数P95 =2.56mg/ L,求总体中位数及第95百分位数的95%可信区间。

某地正常人尿氟测定结果

尿 氟 值
(mg/L)
(1)
频 数
(2)
累计频数
(3)
0.2~
0.6~
1.0~
1.4~
1.8~
2.2~
2.6~
3.0~
3.4~
3.8~
75
67
30
20
16
19
6
2
1
1
75
142
172
192
208
227
237(=n)

(1)求总体中位数的95%可信区间。
求x%。本例n=237,p=0.5,uα=1.96,按式(2)得


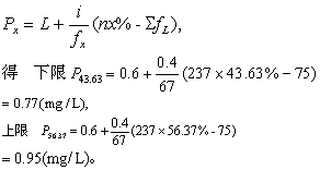
求Px。下限nx%=237(43.63%)=103.4,
 上限nx%=237(56.37%)=133.6。
可见P43.63和P56.37均在表第(1)栏组段“0.6~”内。将表内数据代入下式,


(2)求总体第95百分位数的95%可信区间。
求x%。今n=237,p=0.95,np=237×0.95=225.15,u0. 05=1.96,按式(1):


求Px。今nx%=237(91.18%)=216.1,可见P91.18在表第(1)栏组段“2.2~”内;nx%=237(97.28%)=230.6,可见P97.28在组段“2.6~”内。


故该地正常人尿氟中位数的点估计值为0.86mg/L,其95%可信区间为0.77~0.95mg/L,第95分位数的点估计值为2.56mg/L,其95%可信区间为2.37~2.84mg/L。
☚ 总体几何均数估计   总体方差估计 ☛
00013208
随便看

 

离鸟网收录3541549条中英文词条,其功能与新华字典、现代汉语词典、牛津高阶英汉词典等各类中英文词典类似,基本涵盖了全部常用中英文字词句的读音、释义及用法,是语言学习和写作的有利工具。

 

Copyright © 2004-2024 vtrois.com All Rights Reserved
更新时间:2026/4/20 6:38:29