网站首页  词典首页


请输入您要查询的字词:

 

字词 总体方差估计
类别 中英文字词句释义及详细解析
释义
总体方差估计

总体方差估计

正态分布总体方差的估计有点估计和区间估计。
点估计: 由正态总体随机抽取含量为n,观察值为X的一个样本,当总体均数μ已知时,∑(X-μ)2/n是总体方差σ2的无偏、有效和一致的最理想估计量。但通常μ是未知的, 因此用样本方差∑(X-)2/(n-1)去估计,它是σ2的无偏估计量;若用∑(X-)2/n去估计,则仅是一致估计量。
区间估计: 按数理统计理论,标准正态变量的平方和等于自由度v为n的z2,即


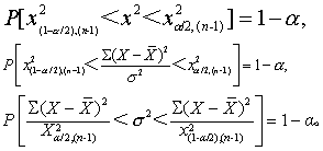
x2的抽样分布曲线表明:在界值x2(1-α/2),(n-1),x2α/2,(n-1)及以外的面积为α,如x2≤x20.975,(n-1)和x2≥x0.0252,(n-1)的概率为α=0.05;而在此两界值以内的面积为1-α,如x0.9752,(n-1)20.0252,(n-1) 的概率为1-0.05=0.95,即


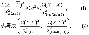
于是可按式(1)或式(2)计算可信度为1-α时,总体方差的可信区间:

式中xα/2,(n-1)2或x(1-α/2),(n-1)2由x2界值表查得。常用95%可信区间,即α=0.05。以上是总体均数未知时,用样本均数来估计的结果。式中∑(X-)2。亦可用(n-1)s2。来估计,则式(2)可写成式(3)。


由此也容易得出可信度为1-α时,总体标准差的可信区间的算式为


例 某抑癌试验的对照组,小白鼠10只,瘤重方差为1.01,试估计总体方差。
本例n=10,s2=1.01,若求总体方差的95%可信区间,α=0.05,查x2界值表:x20.025,(10-1)=19.02,x20.975,(10-1)=2.70,按式(3)得


故对照组总体方差的点估计为1.01,95%可信区间为0.48~3.37。
☚ 总体百分位数估计   最小二乘法 ☛
00013209
随便看

 

离鸟网收录3541549条中英文词条,其功能与新华字典、现代汉语词典、牛津高阶英汉词典等各类中英文词典类似,基本涵盖了全部常用中英文字词句的读音、释义及用法,是语言学习和写作的有利工具。

 

Copyright © 2004-2024 vtrois.com All Rights Reserved
更新时间:2026/4/20 18:47:57