网站首页  词典首页


请输入您要查询的字词:

 

字词 总体几何均数估计
类别 中英文字词句释义及详细解析
释义
总体几何均数估计

总体几何均数估计

总体几何均数估计有点估计和区间估计。点估计是用样本几何均数来估计总体几何均数; 区间估计是求出总体几何均数的可能范围,即某一可信度1-α时的可信区间,先用式(1)计算出可信区间的对数值,取反对数即得真数值。

式中G为样本几何均数,lg G和slgX分别为观察值经对数变换后求得的均数和标准差,n为样本含量。当确定α和自由度v后,tα,v可由t界值表查得。当n较大时,求95%可信区间tα,v可用1.96(即t0.05,∞)近似地代替,求99%可信区间tα,v可用2.58(即t0.01,∞)近似地代替,不必查表。式(1)的道理和总体均数的区间估计的公式基本一样,不同的是式(1)中的lg G和slgX是用观察值的对数值算得的,而不是直接用观察值算得的。
此外,当样本含量较大时,式(1)中的lg G和slgX还可用式(2)和式(3),通过百分位数来估计。


例1 某海湾鱼类放射性铯(137CS) 含量(pCi/kg)测定结果为:25,11,17,13,13,33,23,12,32,6,20,35,12,9,8,6,20。试估计该地鱼类137CS含量的总体几何均数及其95%可信区间。


总体几何均数的95%可信区间:按式(1)为

取反对数得(11.2,20.1)。
故该海湾鱼类放射性铯含量总体几何均数的点估计为15.0pCi/kg,其95%可信区间为11.2~20.1pCi/kg。
例2 某地200名正常成人血铅含量测定结果见表第 (1)、(4)栏资料,试据此估计该地正常成人血铅值的总体几何均数及其95%可信区间。

某地正常成人血铅测定结果

血铅值
(μg/100g)
(1)
组中值
X
(2)
lgX
(3)
频数
f
(4)
累计频数
(5)
0~
5~
10~
15~
20~
25~
30~
35~
40~
45~
50~
55~
60~64
2.5
7.5
12.5
17.5
22.5
27.5
32.5
37.5
42.5
47.5
52.5
57.5
62.5
0.3979
0.8751
1.0969
1.2430
1.3522
1.4393
1.5119
1.5740
1.6284
1.6767
1.7202
1.7597
1.7959
6
48
43
36
28
13
14
4
4
1
2
0
1
6
54
97
133
200

∑f=200,∑flgX=233.7685,∑f(lgX)2=287.6679。
(1)变量的对数变换法:如表第(3)栏。


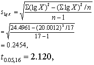
总体几何均数的95%可信区间:按式(1)为


取反对数得(13.54,16.07)。
故该地正常成人血铅值总体几何均数的点估计为14.75μg/100g,其95%可信区间为13.54~16.07μg/100g。
(2)百分位数估计法:
n=200,则P25、P50、P75的百分位分别为:200(25%)=50,200(50%)=100,200(75%)=150,按上表第(5)栏累计频数代入下式计算百分位数:


总体几何均数的95%可信区间:按式(1)为


取反对数得(13.77,16.49)。
结论与前法接近。
☚ 总体均数估计   总体百分位数估计 ☛
00013207
随便看

 

离鸟网收录3541549条中英文词条,其功能与新华字典、现代汉语词典、牛津高阶英汉词典等各类中英文词典类似,基本涵盖了全部常用中英文字词句的读音、释义及用法,是语言学习和写作的有利工具。

 

Copyright © 2004-2024 vtrois.com All Rights Reserved
更新时间:2026/4/20 8:02:47