网站首页  词典首页


请输入您要查询的字词:

 

字词 中位数
类别 中英文字词句释义及详细解析
释义 中位数

是指统计总体各单位按其在某一标志数值上的大小顺序排列,处于中间位置的数值,称之为中位数。

中位数的计算,在单项数列中比较简单,用总体单位数加1除以2求出其位次,这个位次的标志值即为中位数,其计算公式为:

如果总体单位数是偶数时,则中位数为中央位置的两个标志值的算术平均数。如某生产班组8位工人生产某种零件日产量的顺序排列是:10、12、13、14、16、17、19、20件。

中位数位置在,中位数为第4位与第5位工人日产量的算术平均数

在组距数列中,计算中位数时,先确定中位数所在的位置,再求中位数的近似值。

其计算公式为:

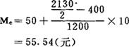
式中:Me为中位数,L为中位数所在组下线,U为中位数所在组上线,Sm+1为中位数所在组以下累计次数,Sm-2为中位数所在组以上累计次数,fm为中位数所在组次数,i为中位数所在组的组距,∑f为各组次数总和。中位数是位置平均指标之一,由它在变量数列中的位置所决定,其他各个标志值的大小只要不影响中位数的位置,就与中位数无关;在有开口组的组距数列,也不影响它的计算。在偏斜的分配数列中,众数一般并无偏移,算术平均数偏移最大,中位数偏移较算术平均数小,居于众数与算术平均数之间。因此,中位数适宜于用作反映显著偏斜的分配数列的一般水平。例如,某地区职工家庭收入资料如下表:

或:

随便看

 

离鸟网收录3541549条中英文词条,其功能与新华字典、现代汉语词典、牛津高阶英汉词典等各类中英文词典类似,基本涵盖了全部常用中英文字词句的读音、释义及用法,是语言学习和写作的有利工具。

 

Copyright © 2004-2024 vtrois.com All Rights Reserved
更新时间:2026/4/17 17:47:57